Viimeisin päivitys :
18/03/2026
Tulehduslääkkeet   Ketoprofene  
Salvat
Injektioneste Oraaliliuos Peräpuikko
Vakaus lääkevalmisteen Stabilius seoksissa Tekijät, jotka vaikuttavat stabiliuteen Yhteensopivuus Viitteet pdf
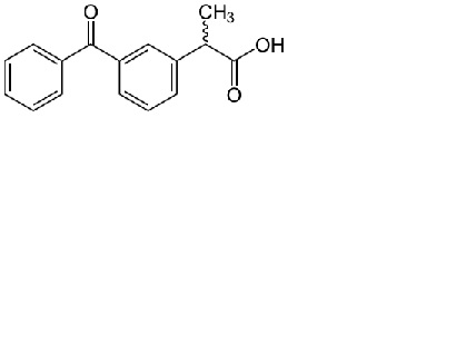
   Kemiallinen rakenne  

Salvat
Vakaus lääkevalmisteen   Salvat   Vakaus lääkevalmisteen : Ketoprofene     
ei tietoa

  Mentions Légales