Posledná aktualizácia :
27/04/2026
Antiflogistikum   Ketoprofene  
Dermálny prípravok
Čapík Injekcia Perorálny roztok
Stabilita farmaceutických prípravkov Stabilita v zmesiach Faktory ovplyvňujúce stabilitu Kompatibility Odkazy na literatúru PDF
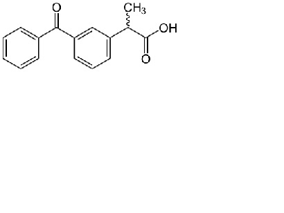
   Chemický vzorec  

Dermálny prípravok
Stabilita farmaceutických prípravkov   Dermálny prípravok   Stabilita farmaceutických prípravkov : Ketoprofene     
žiadne údaje

  Mentions Légales