آخر تحديث :
18/03/2026
المضادة للالتهابات   Ketoprofene  
المراهم
تحميلة حقن عن طريق الفم
استقرار المستحضرات الصيدلانية استقرار مخاليط العوامل التي تؤثر على الاستقرار التوافق مراجع pdf
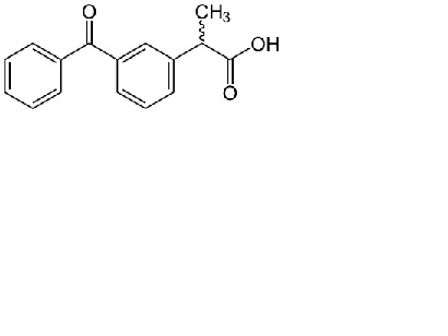
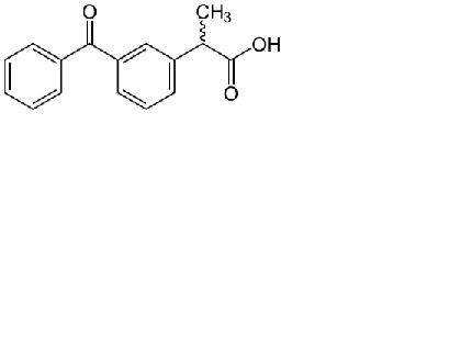
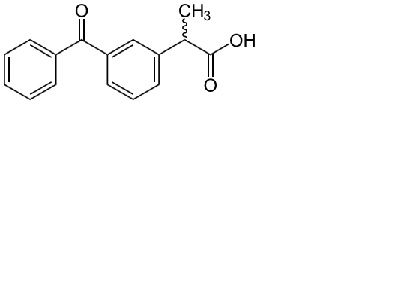
   التركيب الكيميائي  

المراهم
استقرار المستحضرات الصيدلانية   المراهم   استقرار المستحضرات الصيدلانية : Ketoprofene     
لا توجد بيانات

  Mentions Légales