Cập nhật lần cuối :
27/01/2026
thuốc trị ung thư   Cyclophosphamide  
Viên nang
Dạng tiêm Dung dịch uống
Tính ổn định của các chế phẩm Độ ổn định khi trộn lẫn Những yếu tố ảnh hưởng đến độ ổn định Khả năng tương thích Tài liệu tham khảo Pdf
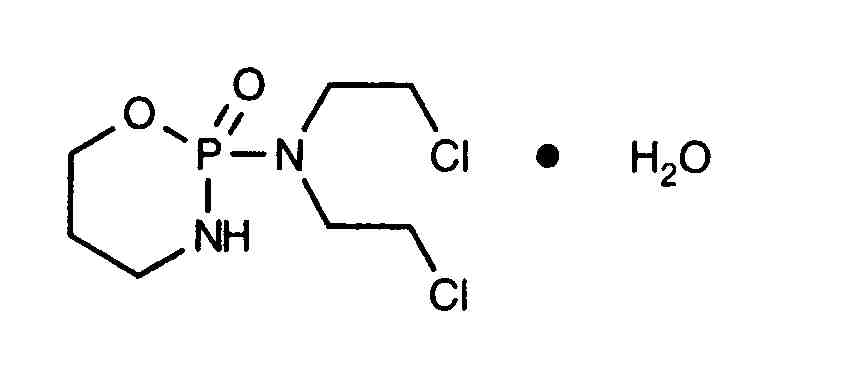
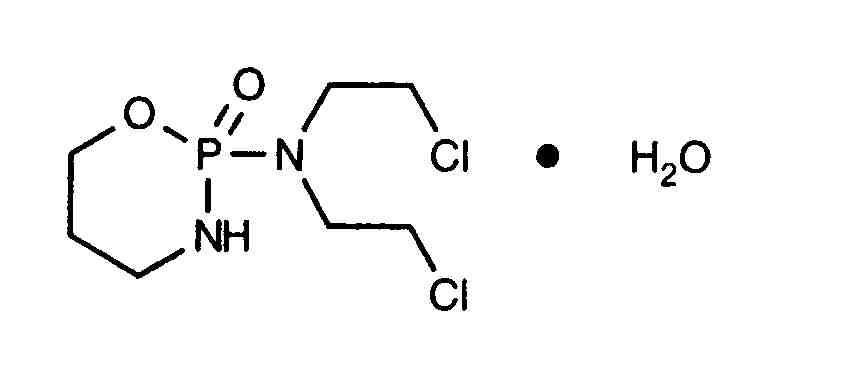
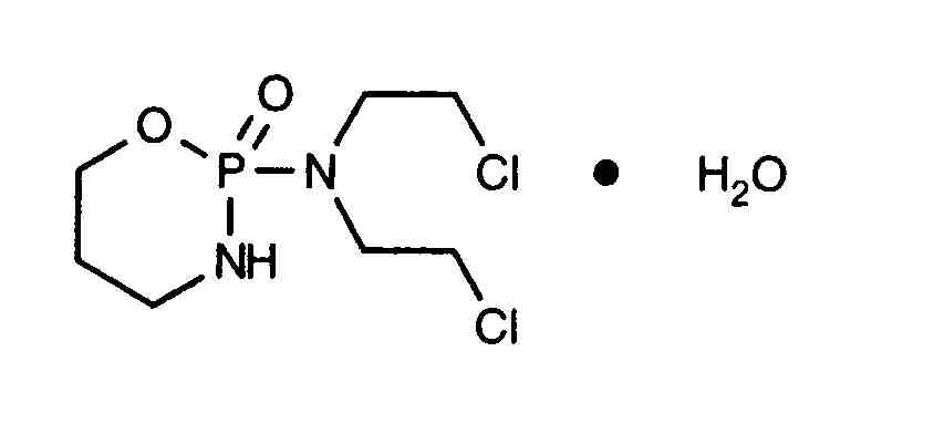
   Cấu trúc hóa học  

Viên nang
Tính ổn định của các chế phẩm   Viên nang   Tính ổn định của các chế phẩm : Cyclophosphamide     
Bao bì Nguyên bản Tá dược Nhiệt độ Bảo quản Thời gian ổn định Mục lục
Không rõ Viên nang 10 mg
Endoxan®
Lactose >>
? Không rõ
70 Ngày
2000


  Mentions Légales