Poslední aktualizace :
27/01/2026
rakovina drog   Cyclophosphamide  
kapsle
injekce Perorální roztok
Stabilita farmaceutických přípravků Stabilita směsí Faktory ovlivňující stabilitu Kompatibilita Odkazy pdf
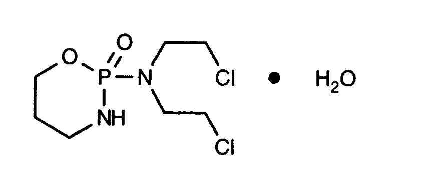
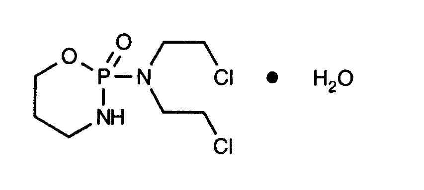
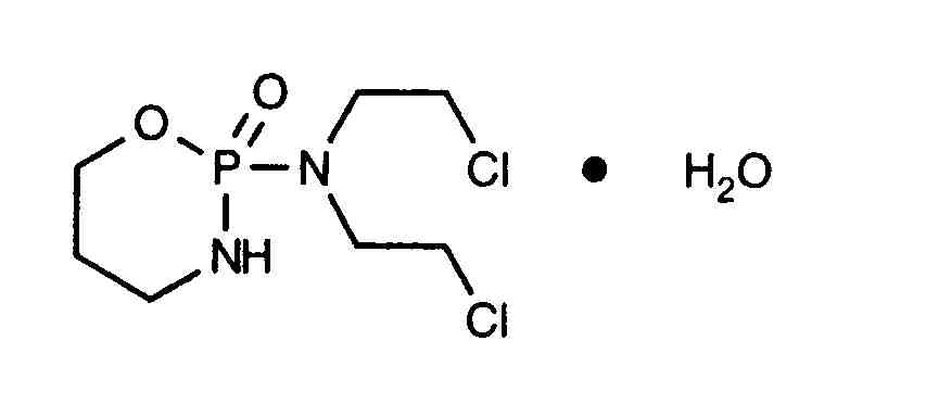
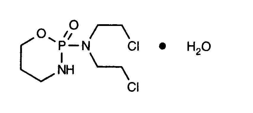
   Chemický vzorec  

kapsle
Stabilita farmaceutických přípravků   kapsle   Stabilita farmaceutických přípravků : Cyclophosphamide     
Obal Origine Pomocné látky Teplota Uchovávání Trvání stability Odkazy
Nespecifikováno kapsle 10 mg
Endoxan®
laktóza >>
? Nespecifikováno
70 Den
2000


  Mentions Légales