Τελευταία ενημέρωση :
27/01/2026
φάρμακο κατά του καρκίνου   Cyclophosphamide  
Κάψουλα
Ενέσιμο Πόσιμο διάλυμα
Σταθερότητα και συμβατότητα των φαρμάκων Σταθερότητα σε μίγματα Παράγοντας που επηρεάζει τη σταθερότητα Συμβατότητες Βιβλιογραφία pdf
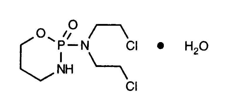
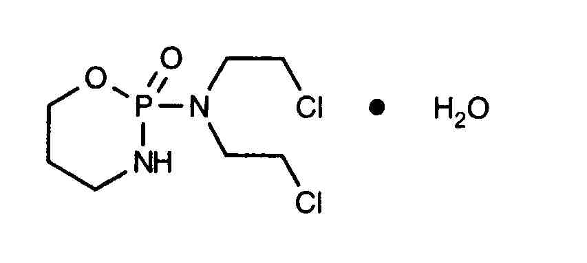
   χημική δομή  

Κάψουλα
Σταθερότητα και συμβατότητα των φαρμάκων   Κάψουλα   Σταθερότητα και συμβατότητα των φαρμάκων : Cyclophosphamide     
Υποδοχέας Origine Έκδοχο Θερμοκρασία Αποθήκευση Διάρκεια σταθερότητας Βιβλιογραφία
Απροσδιόριστο Κάψουλα 10 mg
Endoxan®
Λακτόζη >>
? Απροσδιόριστο
70 Ημέρα
2000


  Mentions Légales