Última actualização :
18/03/2026
droga contra o câncer   Cyclophosphamide  
Cápsula
injetável Solução Oral
Estabilidade de preparações farmacêuticas Estabilidade em misturas Factores que afectam a sua estabilidade Compatibilidade Bibliografía pdf
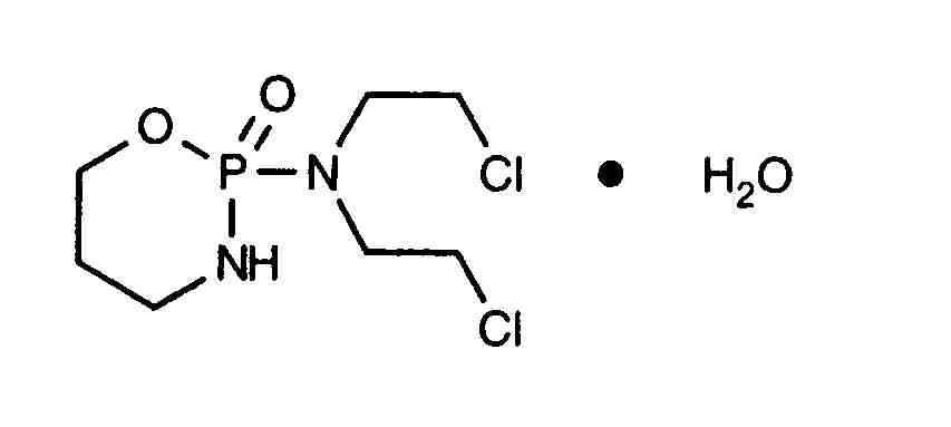
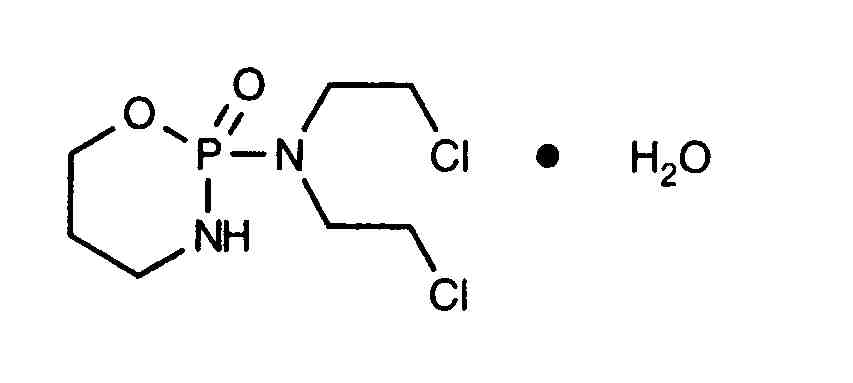
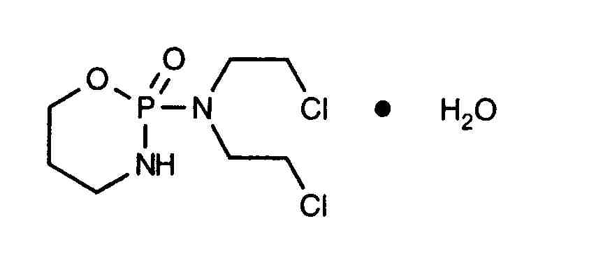
   estrutura química  

Cápsula
Estabilidade de preparações farmacêuticas   Cápsula   Estabilidade de preparações farmacêuticas : Cyclophosphamide     
Embalagem Origine excipiente temperatura conservação Duração da estabilidade Bibliografia
no especificado cápsulas 10 mg
Endoxan®
lactose >>
? no especificado
70 dia
2000


  Mentions Légales