Последнее обновление :
27/01/2026
Цитостатическое средство   Cyclophosphamide  
Капсула
Инъекция Раствор для перорального приёма
Стабильность фармацевтических препаратов Стабильность смесей Факторы, которые влияют на стабильность Совместимость Библиография pdf
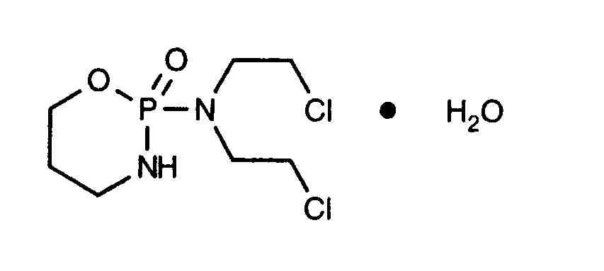
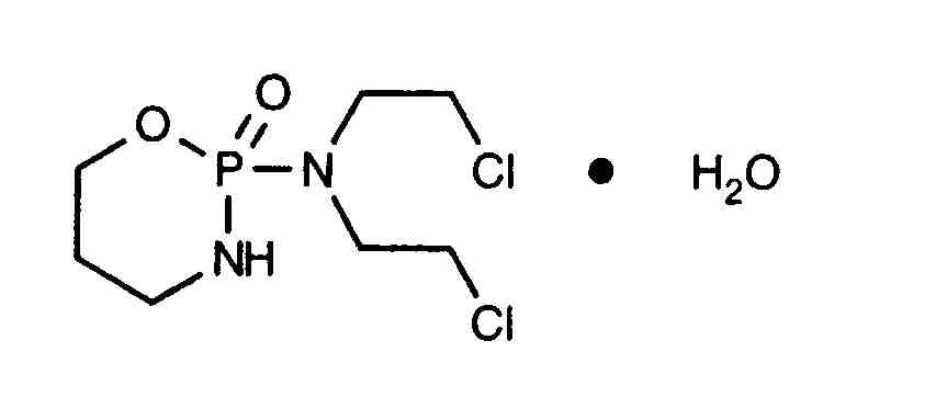
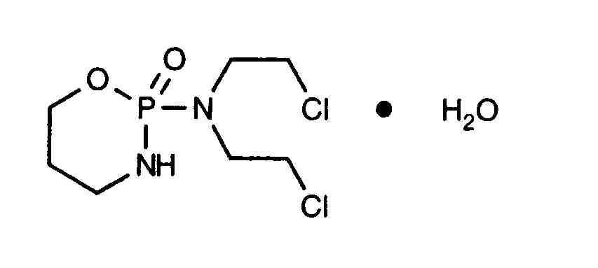
   Химическая структура  

Капсула
Стабильность фармацевтических препаратов   Капсула   Стабильность фармацевтических препаратов : Cyclophosphamide     
Упаковка Origine Наполнитель Температура Хранение Продолжительность стабильности Ссылки
Не указано Капсулы 10 mg
Endoxan®
Лактозп >>
? Не указано
70 День
2000


  Mentions Légales