Останнє оновлення :
27/01/2026
Протипухлинний препарат   Cyclophosphamide  
капсула
ін'єкція Розчин для перорального застосування
Стабільність фармацевтичних препаратів Стійкість сумішей Фактори, що впливають на стабільність Сумісність Список літератури pdf
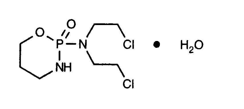
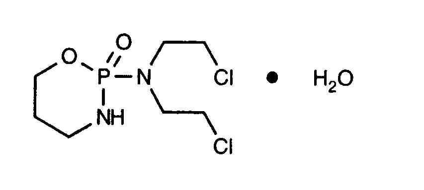
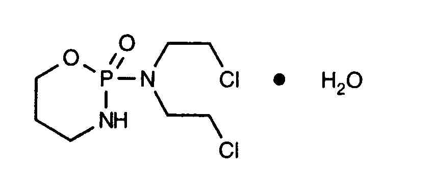
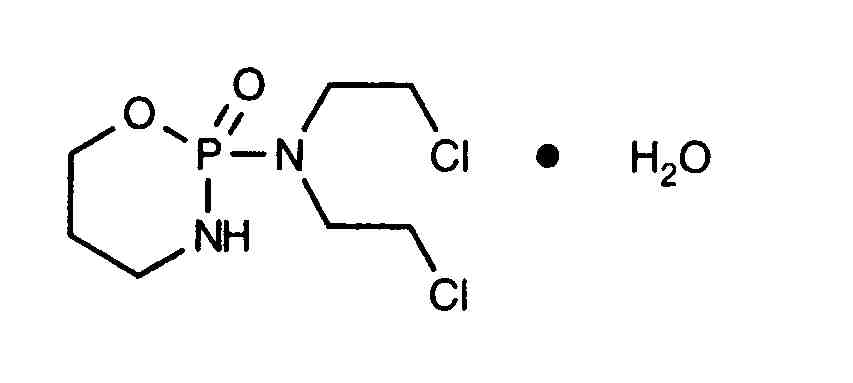
   Хімічна структура  

капсула
Список літератури   капсула   Список літератури : Cyclophosphamide  
Тип Публікація
2000 журнал Bouligand J, Storme T, Laville I, Mercier L, Oberlin O, Vassal J, Bourget Ph, Paci A.
Quality control and stability study using HPTLC: applications to cyclophosphamide in various pharmaceutical products.
J Pharm Biomed Anal 2005 ; 38: 180-185.

  Mentions Légales