Seneste opdatering :
27/01/2026
anticancer medicin   Cyclophosphamide  
Kapsel
Injektion Oral opløsning
Stabilitet af farmaceutiske tilberedninger Stabilitet i blandinger Faktorer der påvirker stabiliteten Kompatibilitet Bibliografi pdf
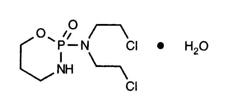
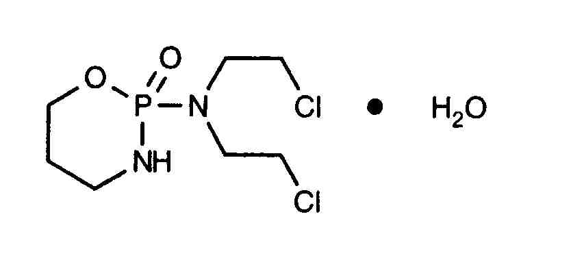
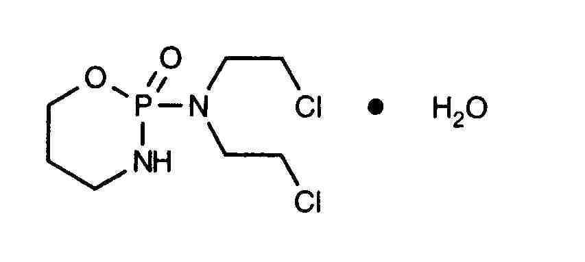
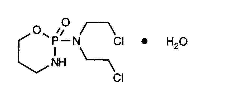
   Kemisk struktur  

Kapsel
Bibliografi   Kapsel   Bibliografi : Cyclophosphamide  
Type offentliggørelse
2000 Journal Bouligand J, Storme T, Laville I, Mercier L, Oberlin O, Vassal J, Bourget Ph, Paci A.
Quality control and stability study using HPTLC: applications to cyclophosphamide in various pharmaceutical products.
J Pharm Biomed Anal 2005 ; 38: 180-185.

  Mentions Légales