Последнее обновление :
27/01/2026
Цитостатическое средство   Cyclophosphamide  
Капсула
Инъекция Раствор для перорального приёма
Стабильность фармацевтических препаратов Стабильность смесей Факторы, которые влияют на стабильность Совместимость Библиография pdf
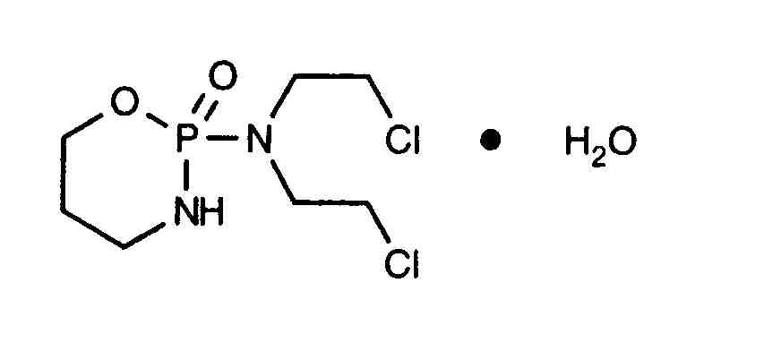
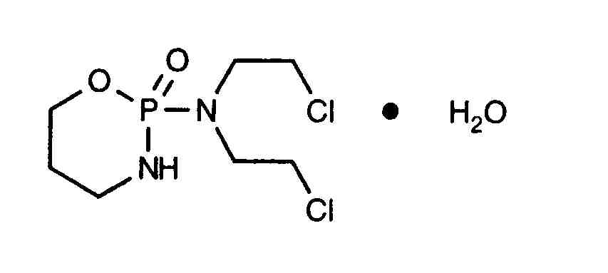
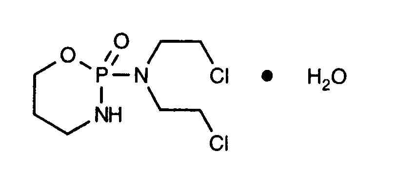
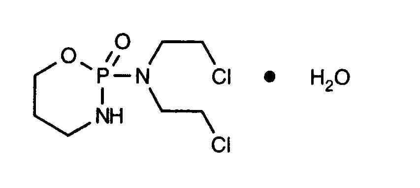
   Химическая структура  

Капсула
Библиография   Капсула   Библиография : Cyclophosphamide  
тип публикация
2000 Журнал Bouligand J, Storme T, Laville I, Mercier L, Oberlin O, Vassal J, Bourget Ph, Paci A.
Quality control and stability study using HPTLC: applications to cyclophosphamide in various pharmaceutical products.
J Pharm Biomed Anal 2005 ; 38: 180-185.

  Mentions Légales