Last update :
27/01/2026
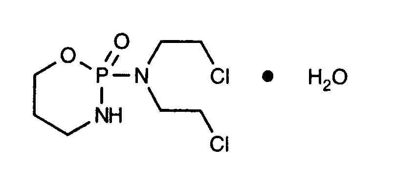
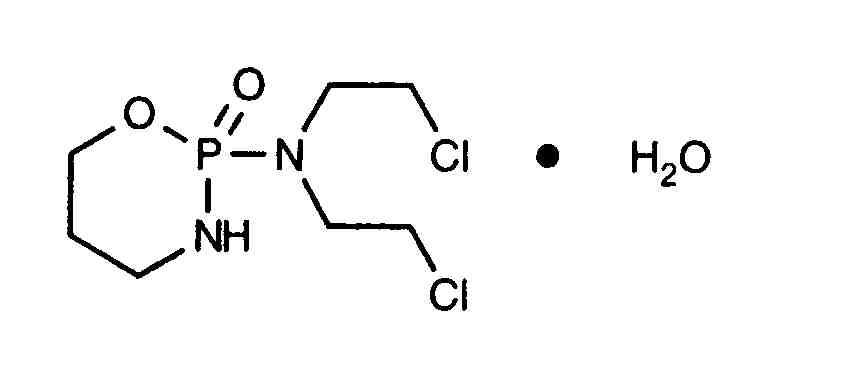
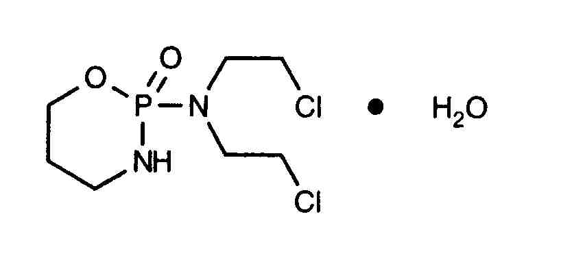
Anticancer drug   Cyclophosphamide  
Capsule
injection Oral solution
Stability of pharmaceutical preparations Stability of mixtures Factors which affect stability Compatibility References pdf
   Chemical structure  

Capsule
References   Capsule   References : Cyclophosphamide  
Type Publication
2000 Journal Bouligand J, Storme T, Laville I, Mercier L, Oberlin O, Vassal J, Bourget Ph, Paci A.
Quality control and stability study using HPTLC: applications to cyclophosphamide in various pharmaceutical products.
J Pharm Biomed Anal 2005 ; 38: 180-185.

  Mentions Légales