Τελευταία ενημέρωση :
27/01/2026
φάρμακο κατά του καρκίνου   Cyclophosphamide  
Κάψουλα
Ενέσιμο Πόσιμο διάλυμα
Σταθερότητα και συμβατότητα των φαρμάκων Σταθερότητα σε μίγματα Παράγοντας που επηρεάζει τη σταθερότητα Συμβατότητες Βιβλιογραφία pdf
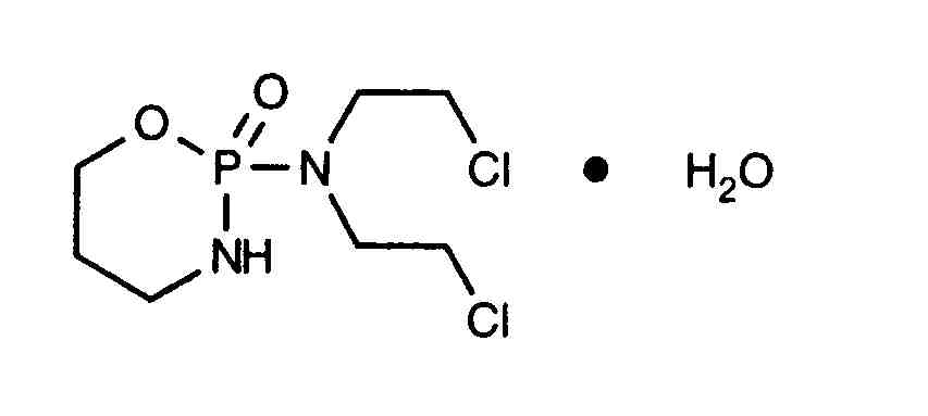
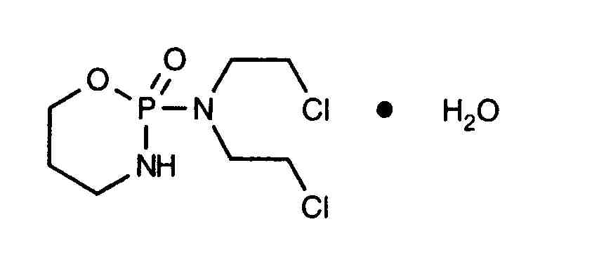
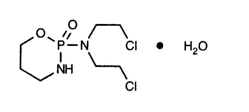
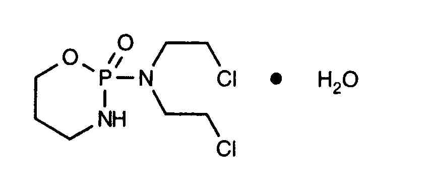
   χημική δομή  

Κάψουλα
Βιβλιογραφία   Κάψουλα   Βιβλιογραφία : Cyclophosphamide  
τύπος δημοσίευση
2000 εφημερίδα Bouligand J, Storme T, Laville I, Mercier L, Oberlin O, Vassal J, Bourget Ph, Paci A.
Quality control and stability study using HPTLC: applications to cyclophosphamide in various pharmaceutical products.
J Pharm Biomed Anal 2005 ; 38: 180-185.

  Mentions Légales