Останнє оновлення :
27/04/2026
Протипаразитарний   Artesunate  
супозиторій
ін'єкція
Стабільність фармацевтичних препаратів Стійкість сумішей Фактори, що впливають на стабільність Сумісність Список літератури pdf
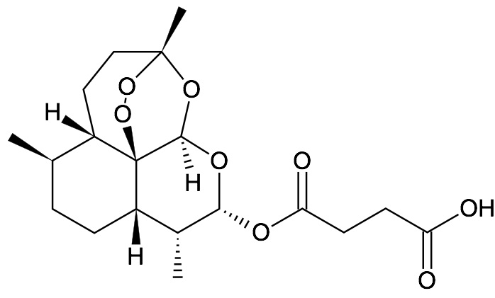
   Хімічна структура  

супозиторій
Список літератури   супозиторій   Список літератури : Artesunate  
Тип Публікація
2655 журнал Gaudin K, Barbaud A, Boyer C, Langlois MH, Lagueny AML, Dubost JP, Millet P, Fawaz F.
Invitro release and stability of an artesunate rectal gel suitable for pediatric use.
Int J Pharm 2008 ; 353, 1-2: 1-7.

  Mentions Légales