Последнее обновление :
27/04/2026
Противопаразитарное средство   Artesunate  
Суппозиторий (свеча)
Инъекция
Стабильность фармацевтических препаратов Стабильность смесей Факторы, которые влияют на стабильность Совместимость Библиография pdf
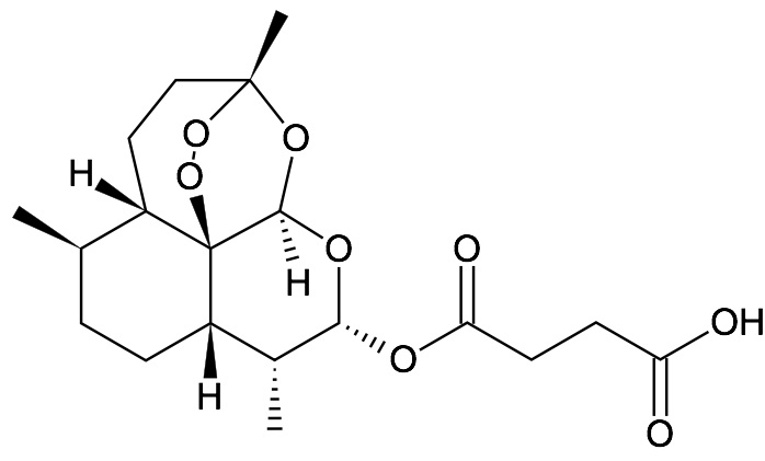
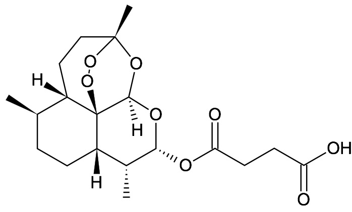
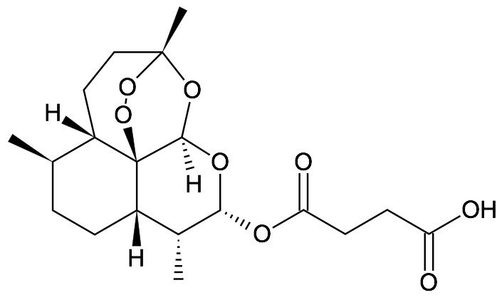
   Химическая структура  

Суппозиторий (свеча)
Библиография   Суппозиторий (свеча)   Библиография : Artesunate  
тип публикация
2655 Журнал Gaudin K, Barbaud A, Boyer C, Langlois MH, Lagueny AML, Dubost JP, Millet P, Fawaz F.
Invitro release and stability of an artesunate rectal gel suitable for pediatric use.
Int J Pharm 2008 ; 353, 1-2: 1-7.

  Mentions Légales