Последно актуализиране :
21/01/2026
Противопаразитно средство   Artesunate  
Супозитория
Инжекция/Инжекционен
Стабилност на лекарствени препарати Стабилност на смеси Фактори, повлияващи стабилността Съвместимост Библиография Pdf
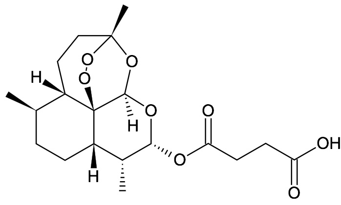
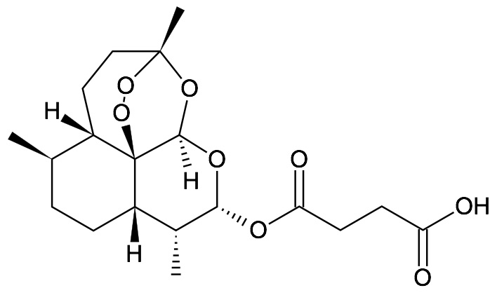
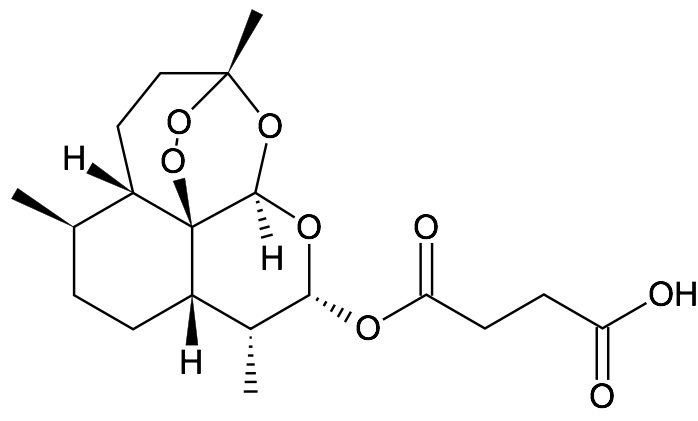
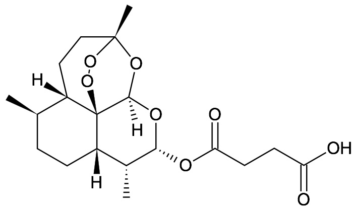
   Химична структура  

Супозитория
Библиография   Супозитория   Библиография : Artesunate  
Вид Публикация
2655 Списание Gaudin K, Barbaud A, Boyer C, Langlois MH, Lagueny AML, Dubost JP, Millet P, Fawaz F.
Invitro release and stability of an artesunate rectal gel suitable for pediatric use.
Int J Pharm 2008 ; 353, 1-2: 1-7.

  Mentions Légales