Letztes “update” :
27/04/2026
Antiparasitär   Artesunate  
Zäpfchen
Injektion
Stabilität von pharmazeutischen Präparaten Gemengestabilität Stabilitätbeeinflussende Faktoren Kompatibilitäten Literaturverzeichnis pdf
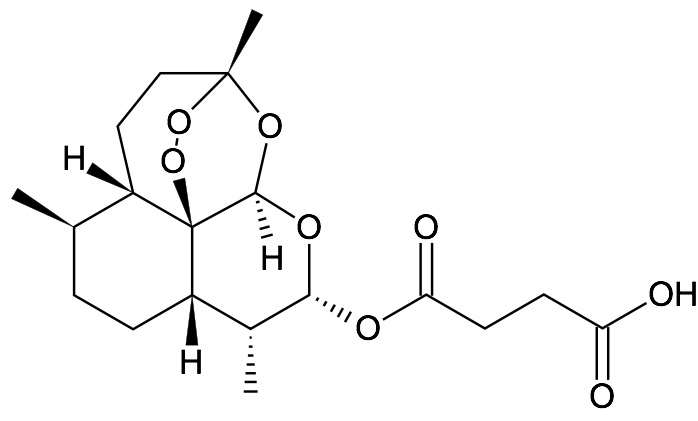
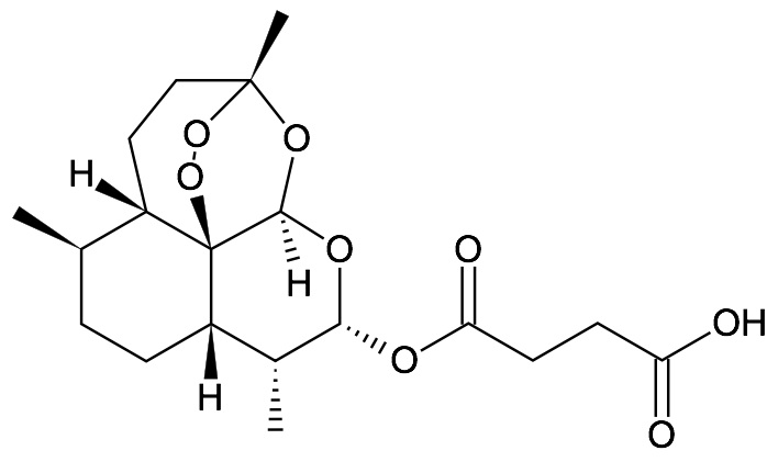
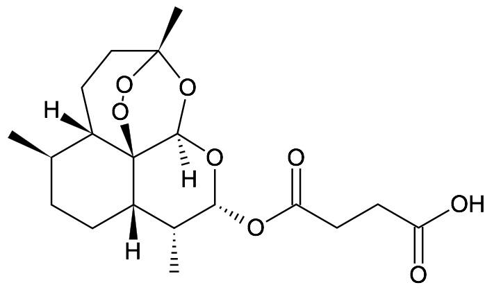
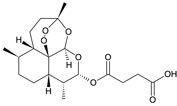
   Chemische Struktur  

Zäpfchen
Literaturverzeichnis   Zäpfchen   Literaturverzeichnis : Artesunate  
Typ Veröffentlichung
2655 Zeitung Gaudin K, Barbaud A, Boyer C, Langlois MH, Lagueny AML, Dubost JP, Millet P, Fawaz F.
Invitro release and stability of an artesunate rectal gel suitable for pediatric use.
Int J Pharm 2008 ; 353, 1-2: 1-7.

  Mentions Légales