最新更新 :
27/04/2026
抗寄生虫药   Artesunate  
肛门塞剂
注射液
制剂的稳定性 混合物稳定性 影响稳定性的因素 兼容性 引用文献 PDF
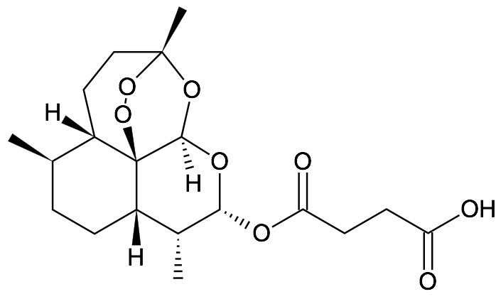
   化学式  

肛门塞剂
引用文献   肛门塞剂   引用文献 : Artesunate  
种类 出版物
2655 文献 Gaudin K, Barbaud A, Boyer C, Langlois MH, Lagueny AML, Dubost JP, Millet P, Fawaz F.
Invitro release and stability of an artesunate rectal gel suitable for pediatric use.
Int J Pharm 2008 ; 353, 1-2: 1-7.

  Mentions Légales