viimane versioon :
27/04/2026
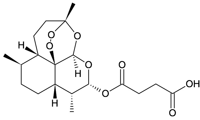
Parasiidivastane ravim   Artesunate  
ravimküünal
Süsteravim
Stabiilsust ravimpreparaadid Stabiilsust mõjutavad tegurid stabiilsust mõjutavad faktorid Sobimatus Viited pdf
   keemiline struktuur  

ravimküünal
Viited   ravimküünal   Viited : Artesunate  
tüüp avaldamine
2655 ajaleht Gaudin K, Barbaud A, Boyer C, Langlois MH, Lagueny AML, Dubost JP, Millet P, Fawaz F.
Invitro release and stability of an artesunate rectal gel suitable for pediatric use.
Int J Pharm 2008 ; 353, 1-2: 1-7.

  Mentions Légales