Son güncelleme :
27/04/2026
Antibiyotik   Netilmicin sulfate   
Aerosol
Enjeksiyon
Farmasötik preparatlar Kararlılığı Karışımlardaki stabilitesi Stabiliteyi etkileyen faktörler Uyumluluk Kaynaklar pdf
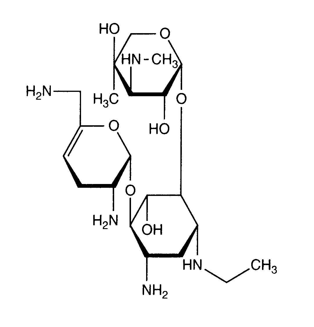
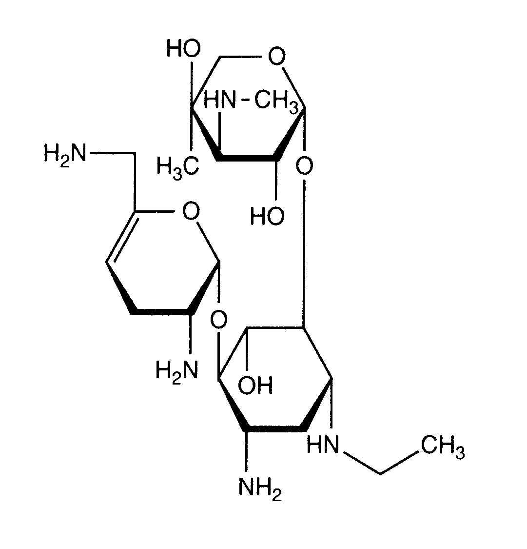
   Kimyasal yapı   

Aerosol
Farmasötik preparatlar Kararlılığı   Aerosol   Farmasötik preparatlar Kararlılığı : Netilmicin sulfate      
veri yok

  Mentions Légales