Seneste opdatering :
27/04/2026
Antibiotisk   Netilmicin sulfate   
Aerosol
Injektion
Stabilitet af farmaceutiske tilberedninger Stabilitet i blandinger Faktorer der påvirker stabiliteten Kompatibilitet Bibliografi pdf
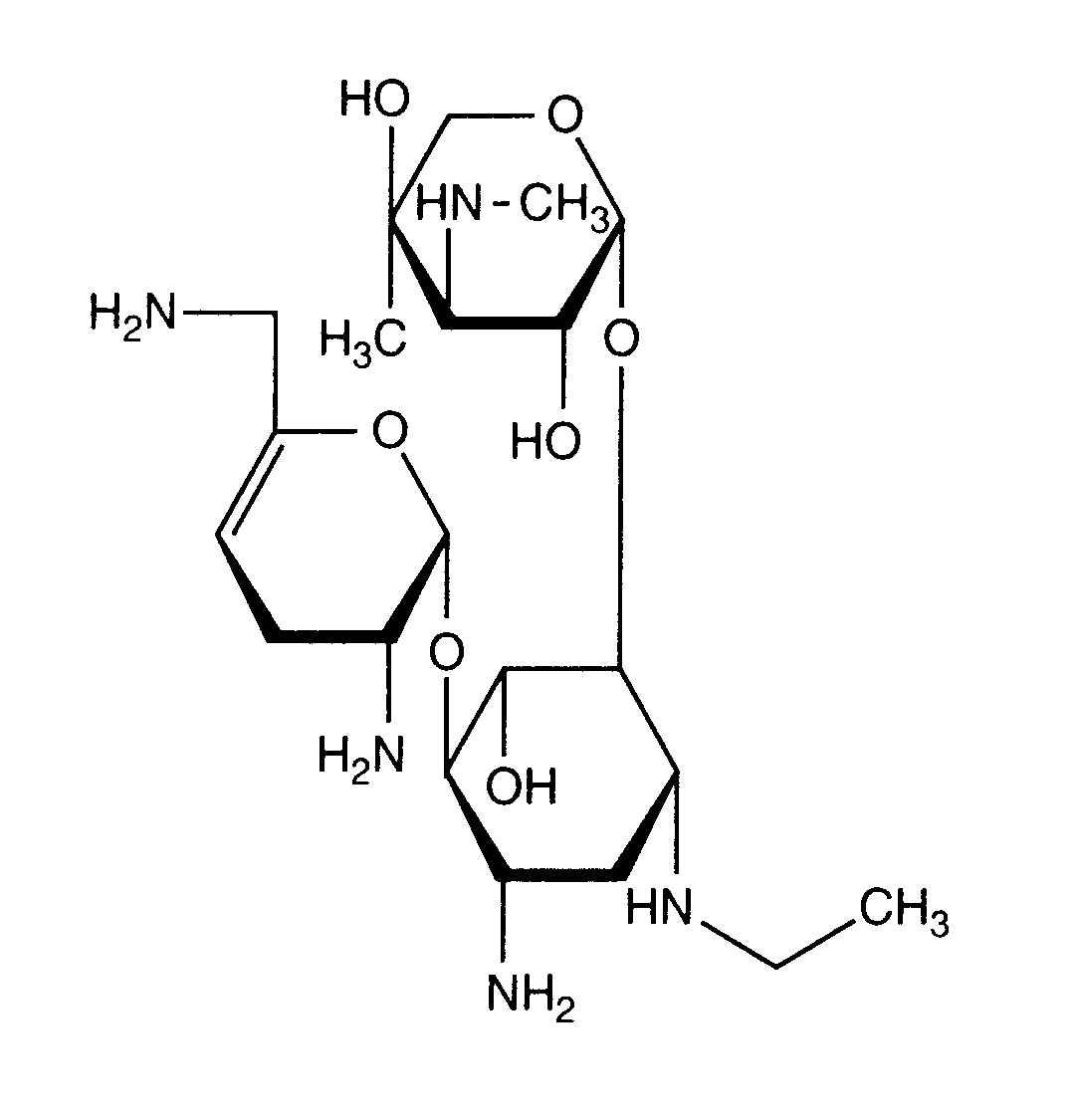
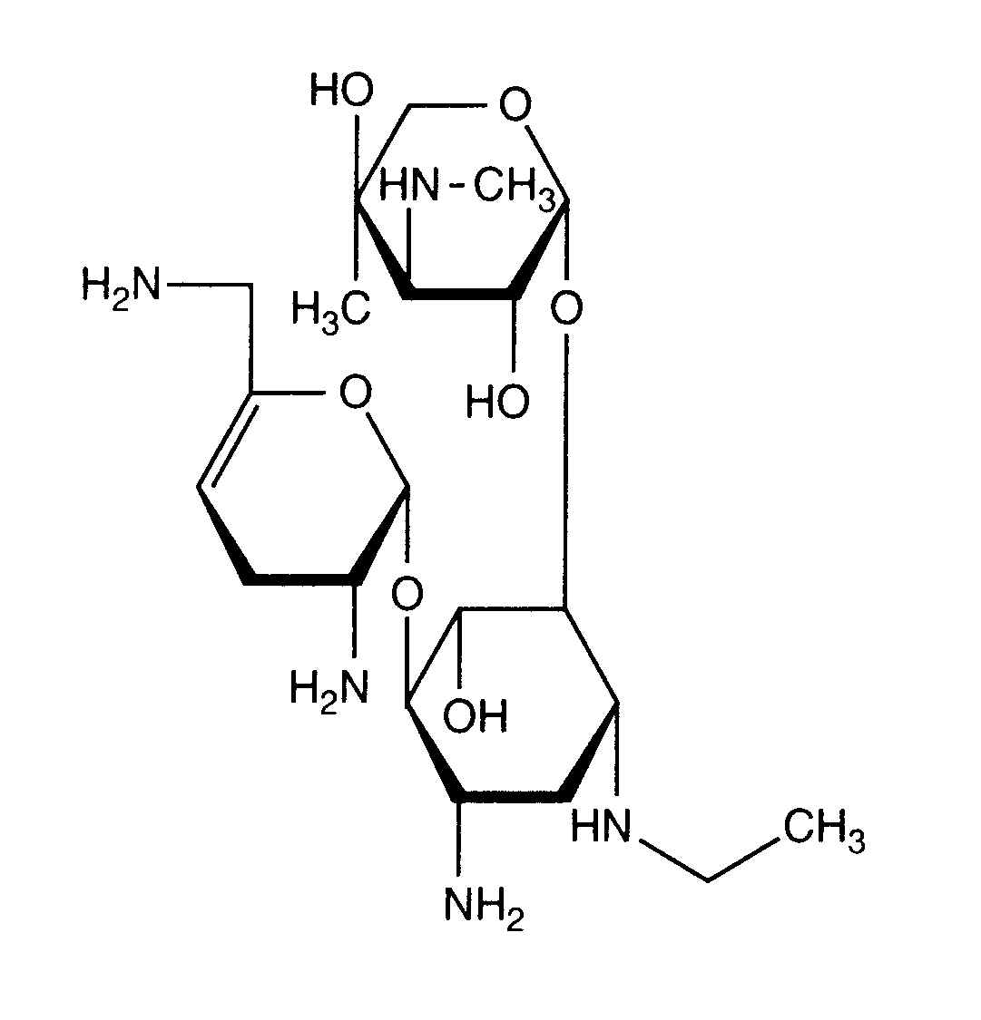
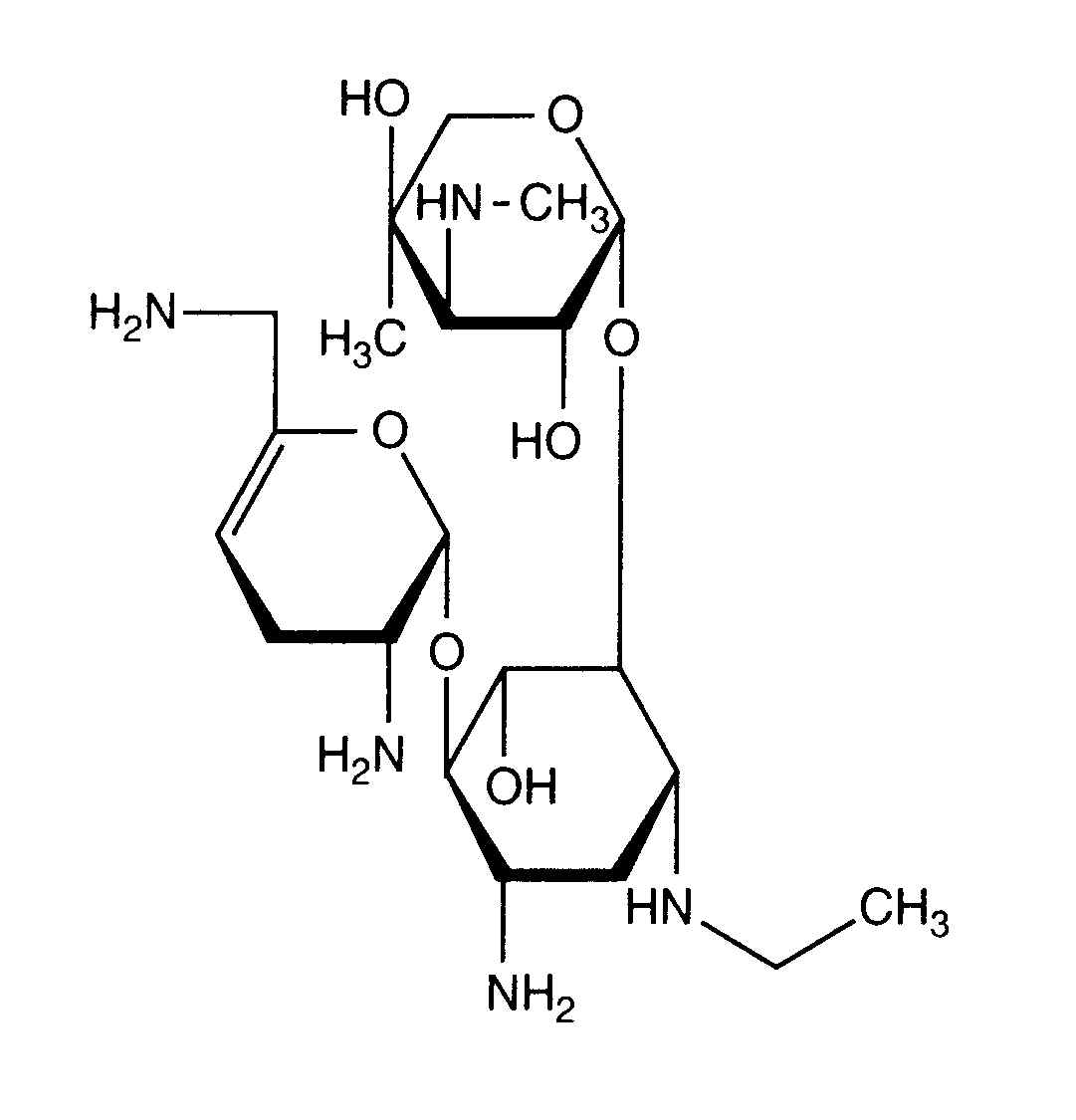
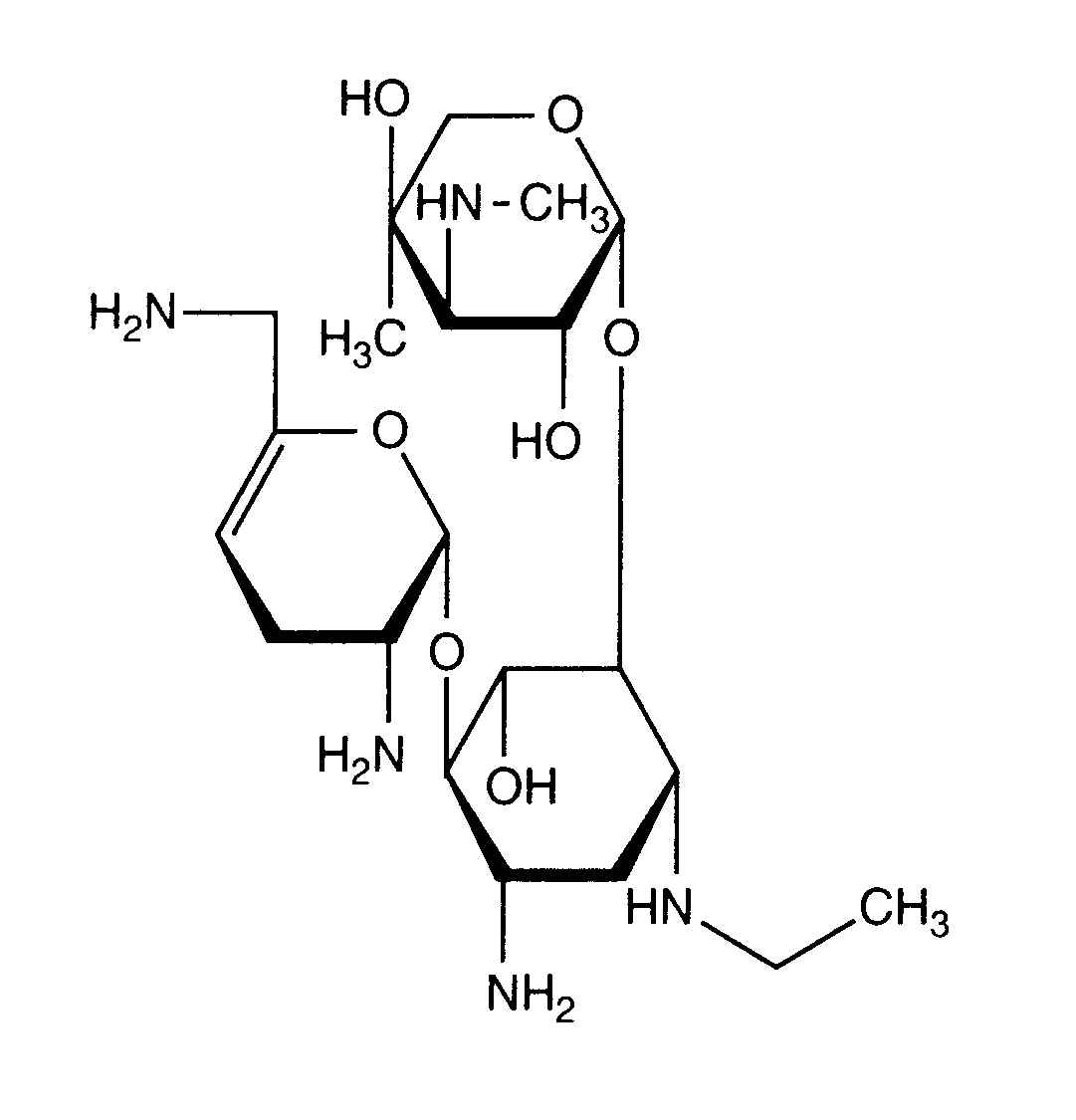
   Kemisk struktur  

Aerosol
Stabilitet af farmaceutiske tilberedninger   Aerosol   Stabilitet af farmaceutiske tilberedninger : Netilmicin sulfate      
Ingen data

  Mentions Légales