Ultimele actualizari :
05/12/2025
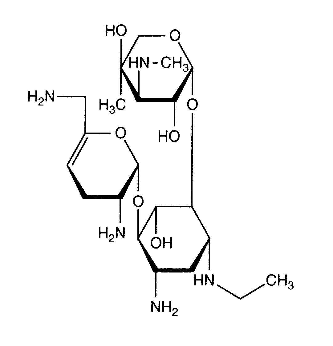
Antibiotic   Netilmicin sulfate   
Aerosol
Injectabil
Stabilitatea preparatelor farmaceutice Stabilitatea in amestec Factorii care influenteaza stabilitatea Compatibilitate Bibliografie pdf
   Formula chimica  

Aerosol
Stabilitatea preparatelor farmaceutice   Aerosol   Stabilitatea preparatelor farmaceutice : Netilmicin sulfate      
Absenta de date

  Mentions Légales