Pēdējā atjaunošana :
27/04/2026
Antibiotika   Netilmicin sulfate   
Aerosols
Injekcija
Stabilitāte farmaceitisko preparātu Maisījuma stabilitāte Stabilitāti ietekmējoši faktori Saderība Literatūras saraksts pdf
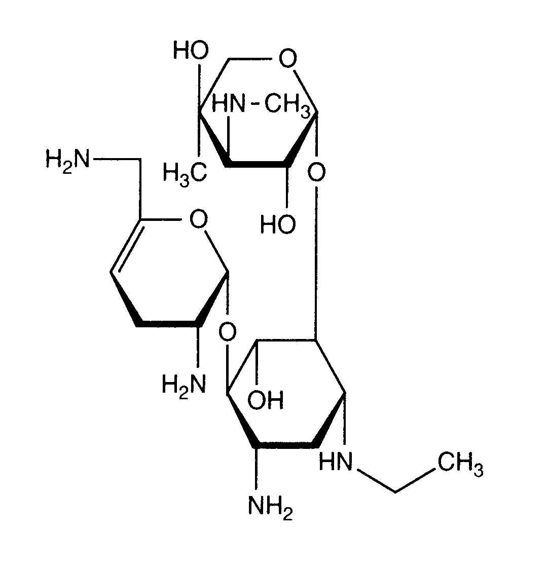
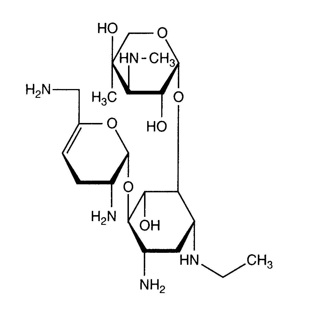
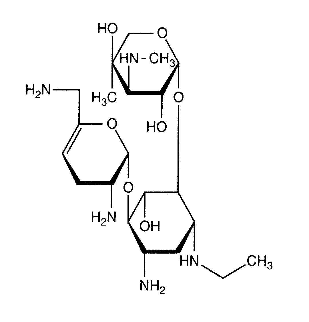
   Ķīmiskā uzbūve   

Aerosols
Stabilitāte farmaceitisko preparātu   Aerosols   Stabilitāte farmaceitisko preparātu : Netilmicin sulfate      
Nav datu

  Mentions Légales