Последно актуализиране :
27/04/2026
Антибиотик   Netilmicin sulfate   
Аерозол
Инжекция/Инжекционен
Стабилност на лекарствени препарати Стабилност на смеси Фактори, повлияващи стабилността Съвместимост Библиография Pdf
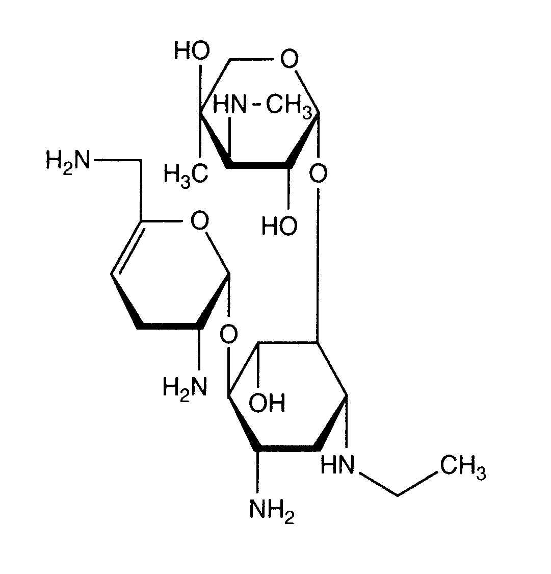
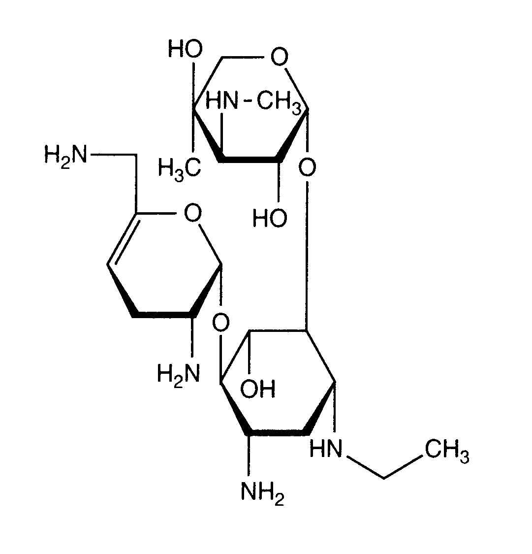
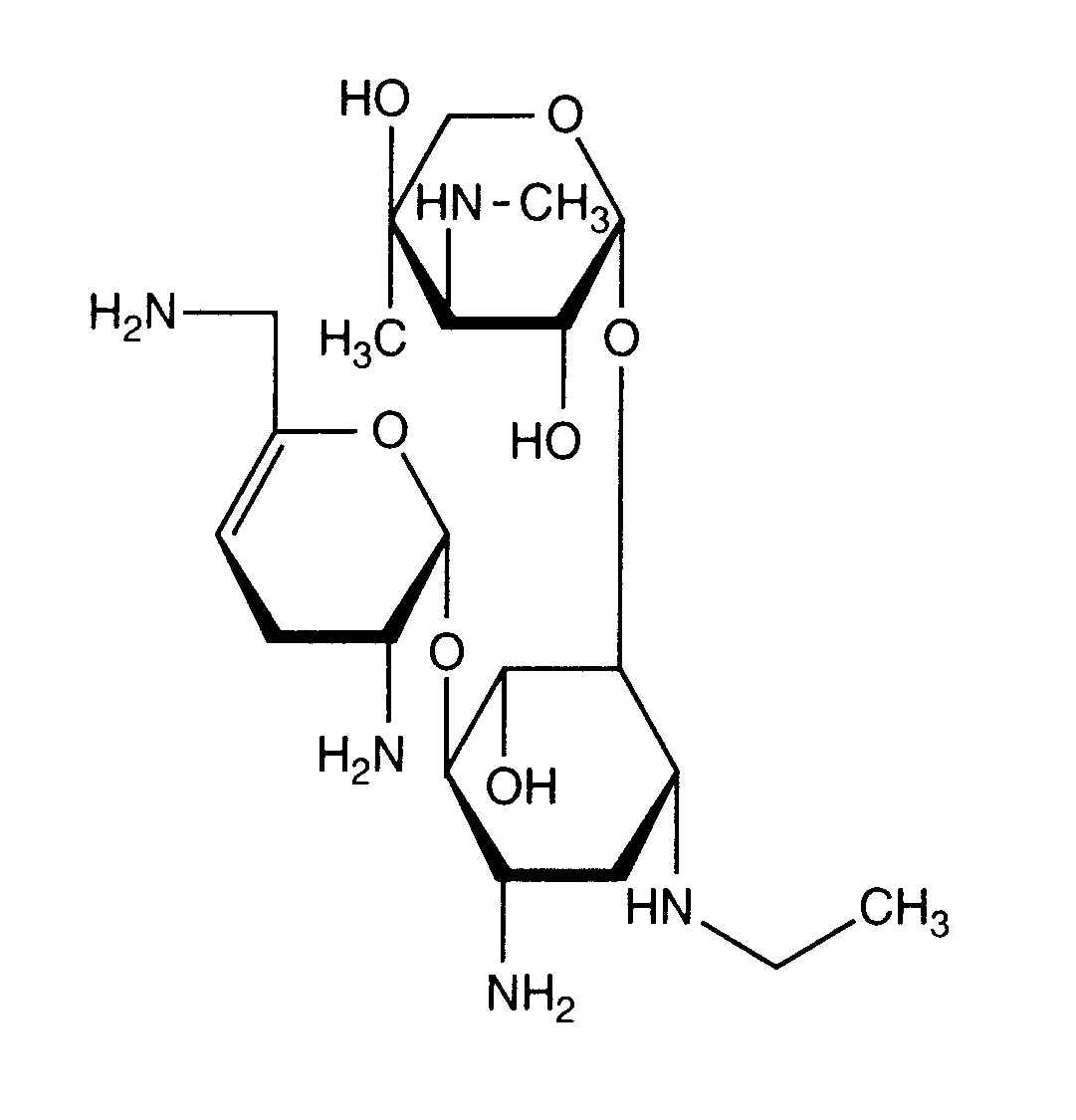
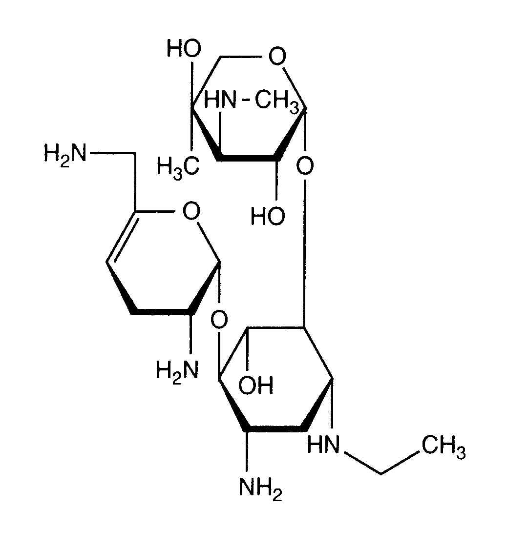
   Химична структура  

Аерозол
Стабилност на лекарствени препарати   Аерозол   Стабилност на лекарствени препарати : Netilmicin sulfate      
Няма данни

  Mentions Légales