Siste oppdatering :
27/04/2026
Antibiotika   Netilmicin sulfate   
Aerosol
Injeksjon
Stabilitet av farmasøytiske preparater Stabilitet i blandinger Faktorer som påvirker stabiliteten Kompatibilitet Referanser pdf
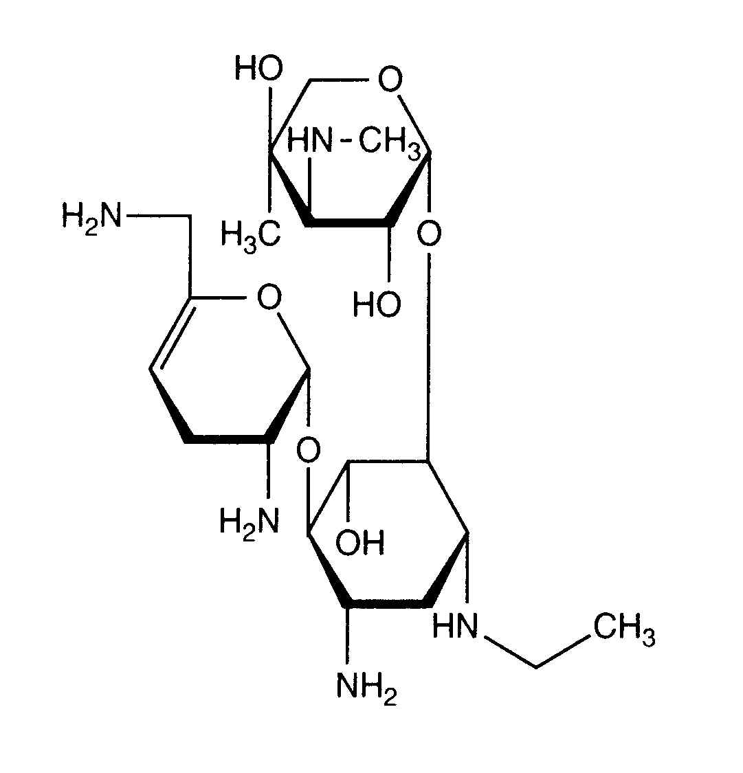
   Kjemisk struktur  

Aerosol
Stabilitet av farmasøytiske preparater   Aerosol   Stabilitet av farmasøytiske preparater : Netilmicin sulfate      
Ingen opplysninger

  Mentions Légales