Last update :
27/01/2026
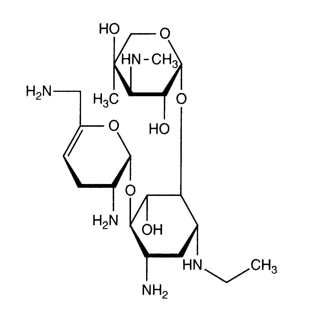
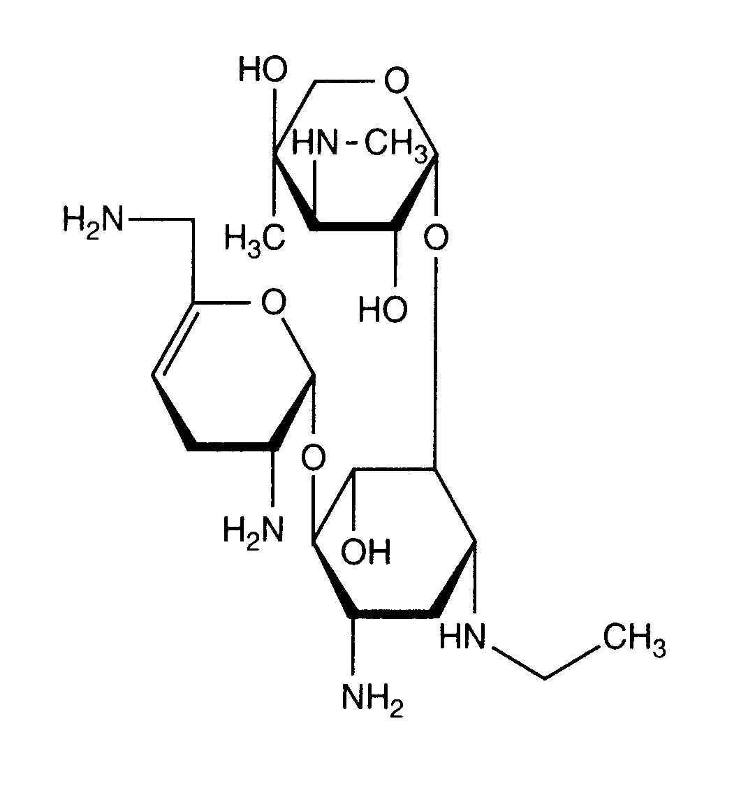
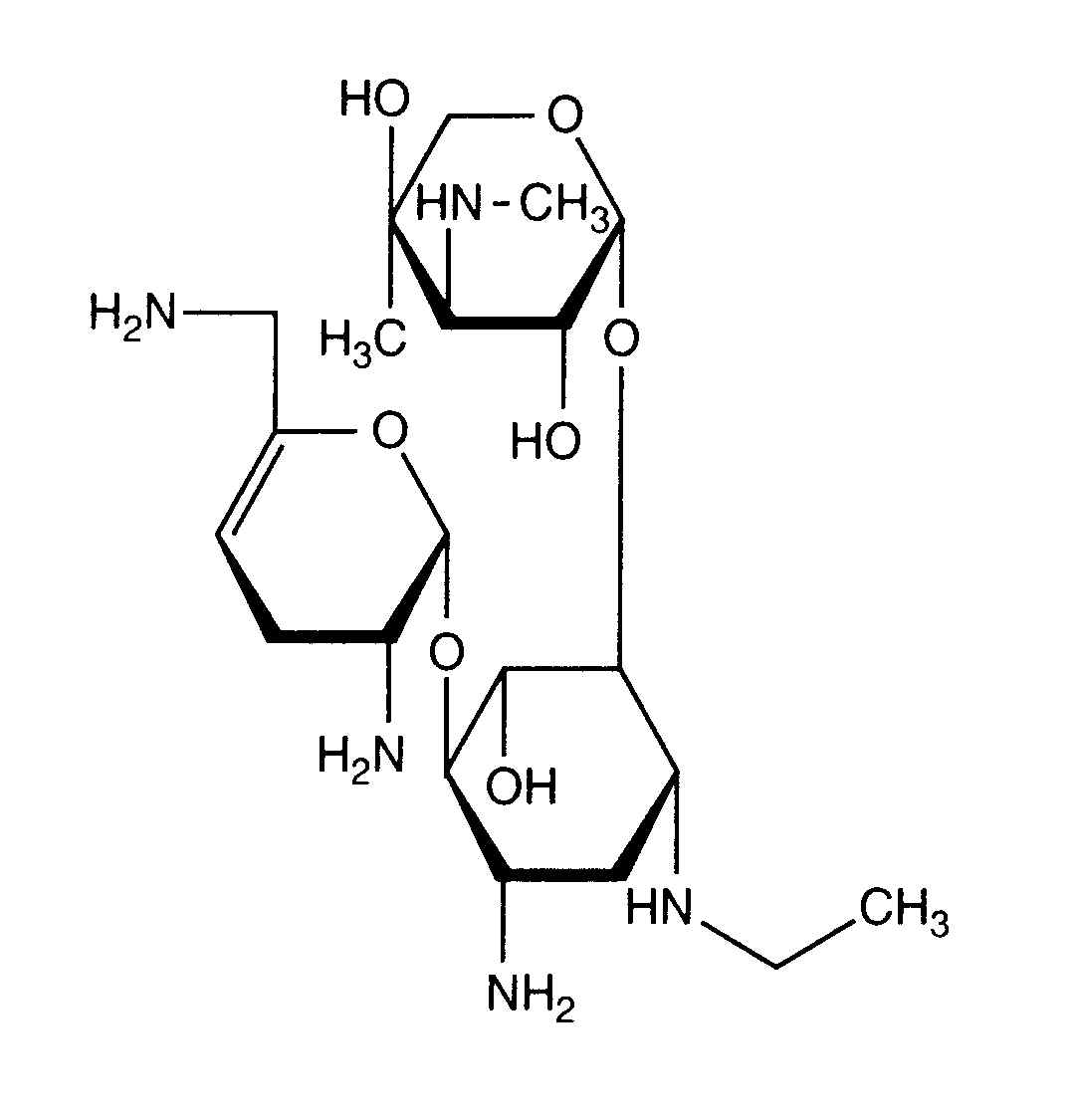
Antibiotic   Netilmicin sulfate   
aerosol
injection
Stability of pharmaceutical preparations Stability of mixtures Factors which affect stability Compatibility References pdf
   Chemical structure  

aerosol
Stability of pharmaceutical preparations   aerosol   Stability of pharmaceutical preparations : Netilmicin sulfate      
No data

  Mentions Légales