Son güncelleme :
27/04/2026
Antifungal   Amphotericin B   
Oral solüsyon / oral çözelti
Aerosol Enjeksiyon Gargara Göz damlası
Farmasötik preparatlar Kararlılığı Karışımlardaki stabilitesi Stabiliteyi etkileyen faktörler Uyumluluk Kaynaklar pdf
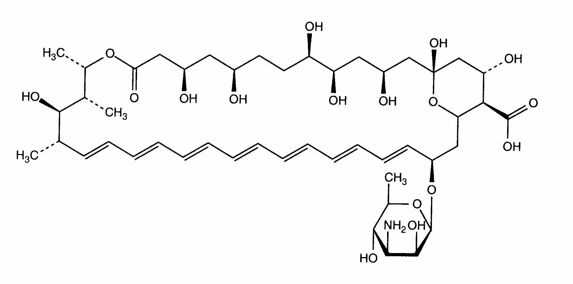
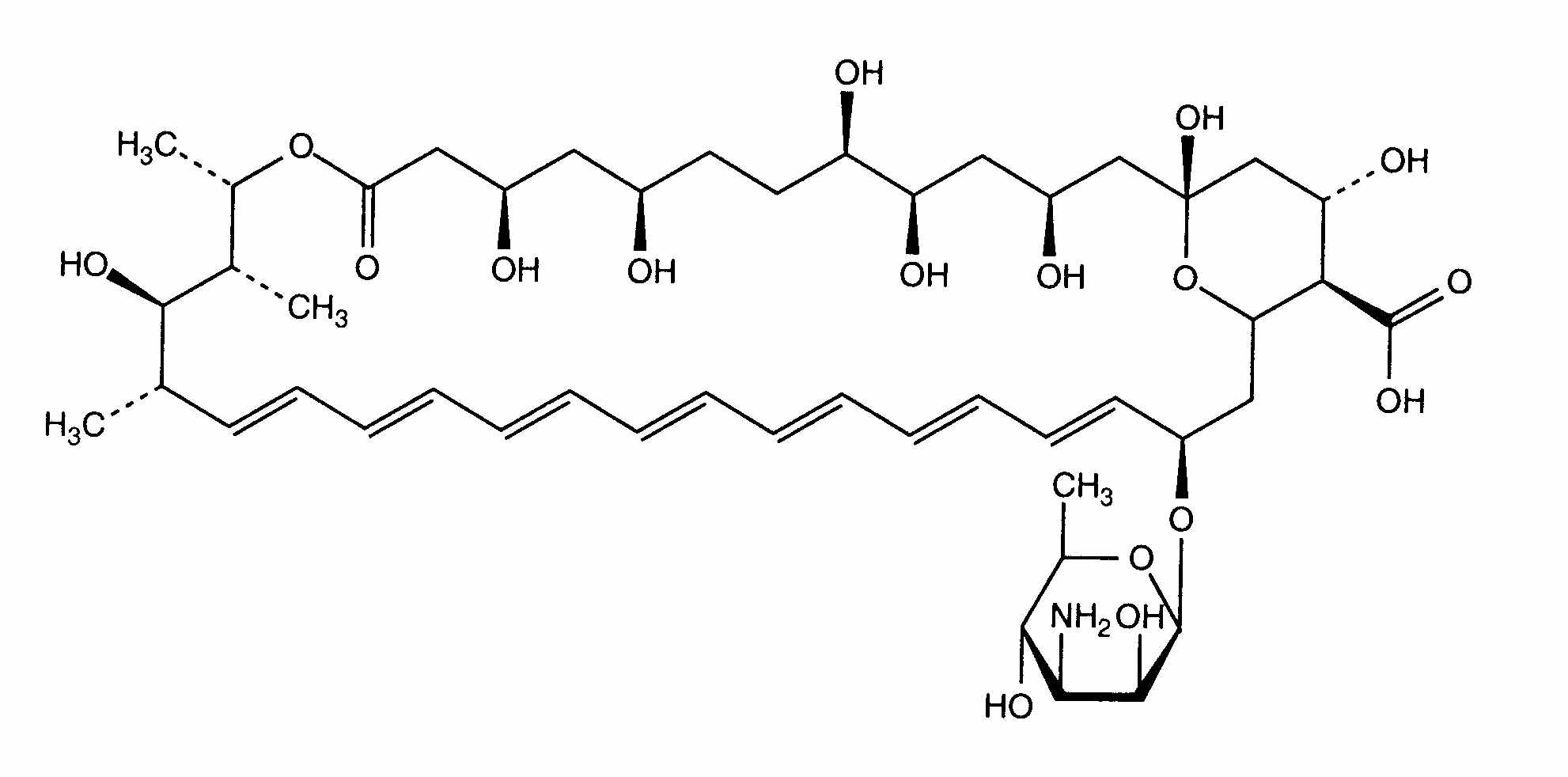
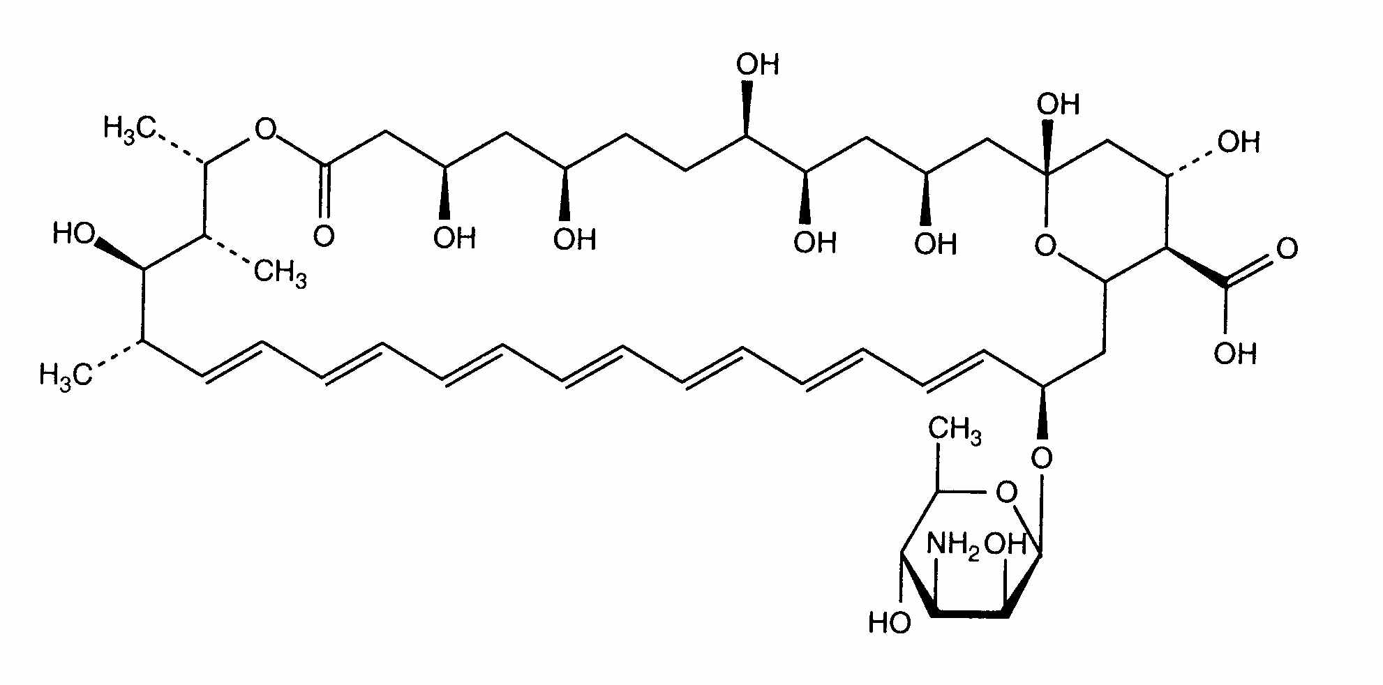
   Kimyasal yapı   

Oral solüsyon / oral çözelti
Farmasötik preparatlar Kararlılığı   Oral solüsyon / oral çözelti   Farmasötik preparatlar Kararlılığı : Amphotericin B      
Saklama kabı Origine yardımcı madde Isı Saklama    Stabilite süresi Kaynaklar
Plastik şişe Toz 30 g
Amphotericin B
Na2HPO4 4.77 g
NaH2PO4 2.88 g
Sodyum benzoat 300 mg
Sodyum metabisülfit 450 mg
Sitrik asit 2.25 g
Karboksimetilselüloz 1% 37.5 ml
Metilparaben 300 mg
Propilparaben 60 mg
Kiraz aroması 1.2 ml
Propilen Glikol 3 ml
Sitrik asit >> pH 4.3
Arıtılmış su >> 300 ml
22-25°C Işıktan koruyunuz
93 Gün
2940


  Mentions Légales