Ostatnia aktualizacja :
27/04/2026
Lek przeciwgrzybiczny   Amphotericin B   
Roztwór doustny
Aerozol Injekcje Krople oczne Roztwór do płukania gardła
Stabilność preparatów farmaceutycznych Trwałość w mieszaninie Czynnik wpływający na trwałość Zgodność Bibliografia pdf
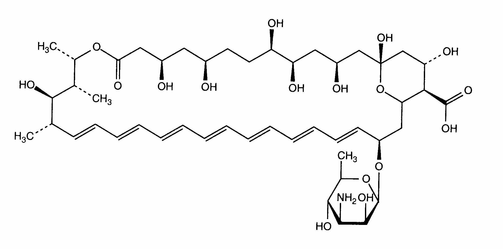
   Struktura chemiczna  

Roztwór doustny
Stabilność preparatów farmaceutycznych   Roztwór doustny   Stabilność preparatów farmaceutycznych : Amphotericin B      
Pojemnik Origine Substancja pomocniczna Temperatura Przechowywanie Czas trwania stabilności Bibliografia
Butelka plastikowa Proszek 30 g
Amphotericin B
Na2HPO4 4.77 g
NaH2PO4 2.88 g
benzoesan sodu 300 mg
Pirosiarczyn sodu 450 mg
kwas cytrynowy 2.25 g
Karboksymetyloceluloza 1% 37.5 ml
Metyloparaben 300 mg
Propyloparaben 60 mg
Smak wiśniowy 1.2 ml
Glikol propylenowy 3 ml
kwas cytrynowy >> pH 4.3
Woda oczyszczona >> 300 ml
22-25°C Chronić od światła
93 Dzień
2940


  Mentions Légales