Poslední aktualizace :
27/04/2026
Protiplísňový přípravek   Amphotericin B   
Perorální roztok
Aerosol Humbuk injekce kloktadlo
Stabilita farmaceutických přípravků Stabilita směsí Faktory ovlivňující stabilitu Kompatibilita Odkazy pdf
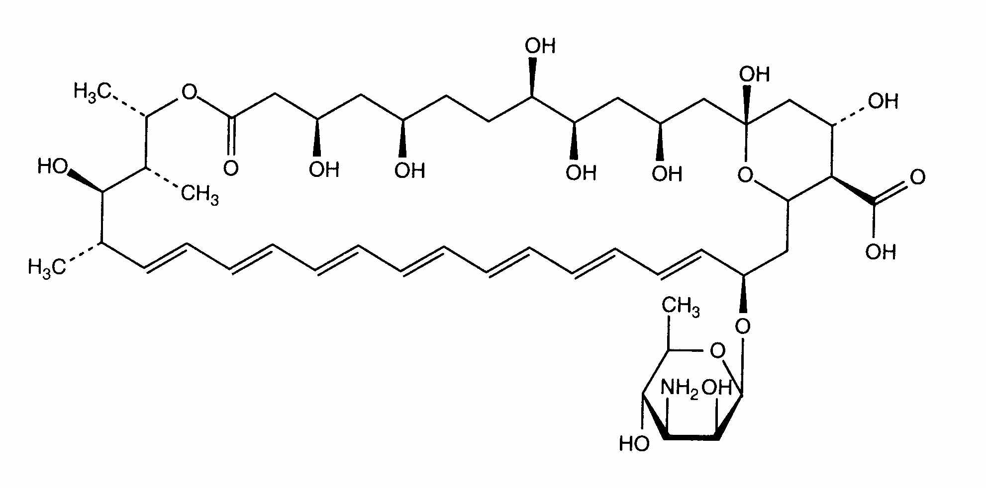
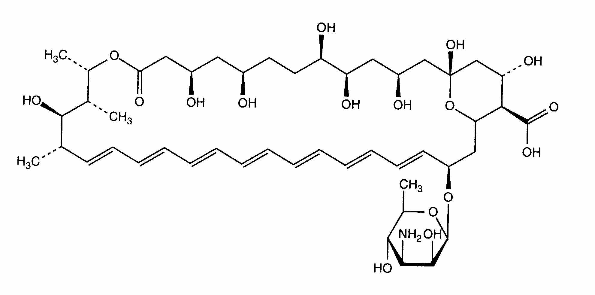
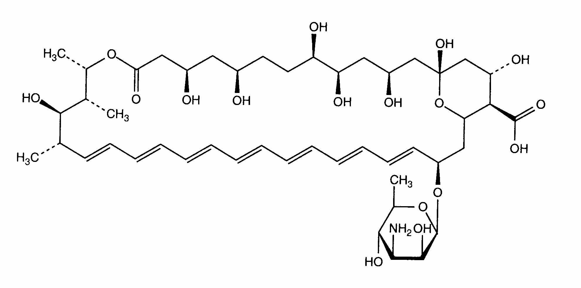
   Chemický vzorec  

Perorální roztok
Stabilita farmaceutických přípravků   Perorální roztok   Stabilita farmaceutických přípravků : Amphotericin B      
Obal Origine Pomocné látky Teplota Uchovávání Trvání stability Odkazy
plastová láhev prášek 30 g
Amphotericin B
Na2HPO4 4.77 g
NaH2PO4 2.88 g
benzoát sodný 300 mg
Sodík metabisulfite 450 mg
kyselina citronová 2.25 g
karboxymethylcelulózy 1% 37.5 ml
methylparabenu 300 mg
propylparaben 60 mg
třešňová příchuť 1.2 ml
propylenglykol 3 ml
kyselina citronová >> pH 4.3
Čištěná voda >> 300 ml
22-25°C Chráněno před světlem
93 Den
2940


  Mentions Légales