viimane versioon :
27/04/2026
Seenevastane ravim   Amphotericin B   
suukaudne lahus
aerosool Silmatilgad Süsteravim Suuloputus lahus
Stabiilsust ravimpreparaadid Stabiilsust mõjutavad tegurid stabiilsust mõjutavad faktorid Sobimatus Viited pdf
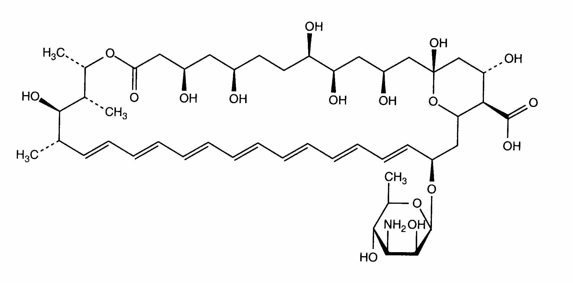
   keemiline struktuur  

suukaudne lahus
Stabiilsust ravimpreparaadid   suukaudne lahus   Stabiilsust ravimpreparaadid : Amphotericin B      
konteiner Origine  abiaine temperatuur ladustamine Stabiilsuse kestus Viited
Plastikpudel pulber 30 g
Amphotericin B
Na2HPO4 4.77 g
NaH2PO4 2.88 g
naatriumbensoaat 300 mg
Naatriummetabisulfit 450 mg
sidrunhape 2.25 g
Karboksümetüültselluloos 1% 37.5 ml
Metüülparabeen 300 mg
propüülparabeen 60 mg
Kirsimaitse 1.2 ml
propüleenglükool 3 ml
sidrunhape >> pH 4.3
Puhastatud vesi >> 300 ml
22-25°C kaitsta valguse eest
93 päev
2940


  Mentions Légales