Letztes “update” :
27/04/2026
Antifungoid   Amphotericin B   
Lösung zum Einnehmen
Aerosol Augentropfen Injektion Mundspüllösung
Stabilität von pharmazeutischen Präparaten Gemengestabilität Stabilitätbeeinflussende Faktoren Kompatibilitäten Literaturverzeichnis pdf
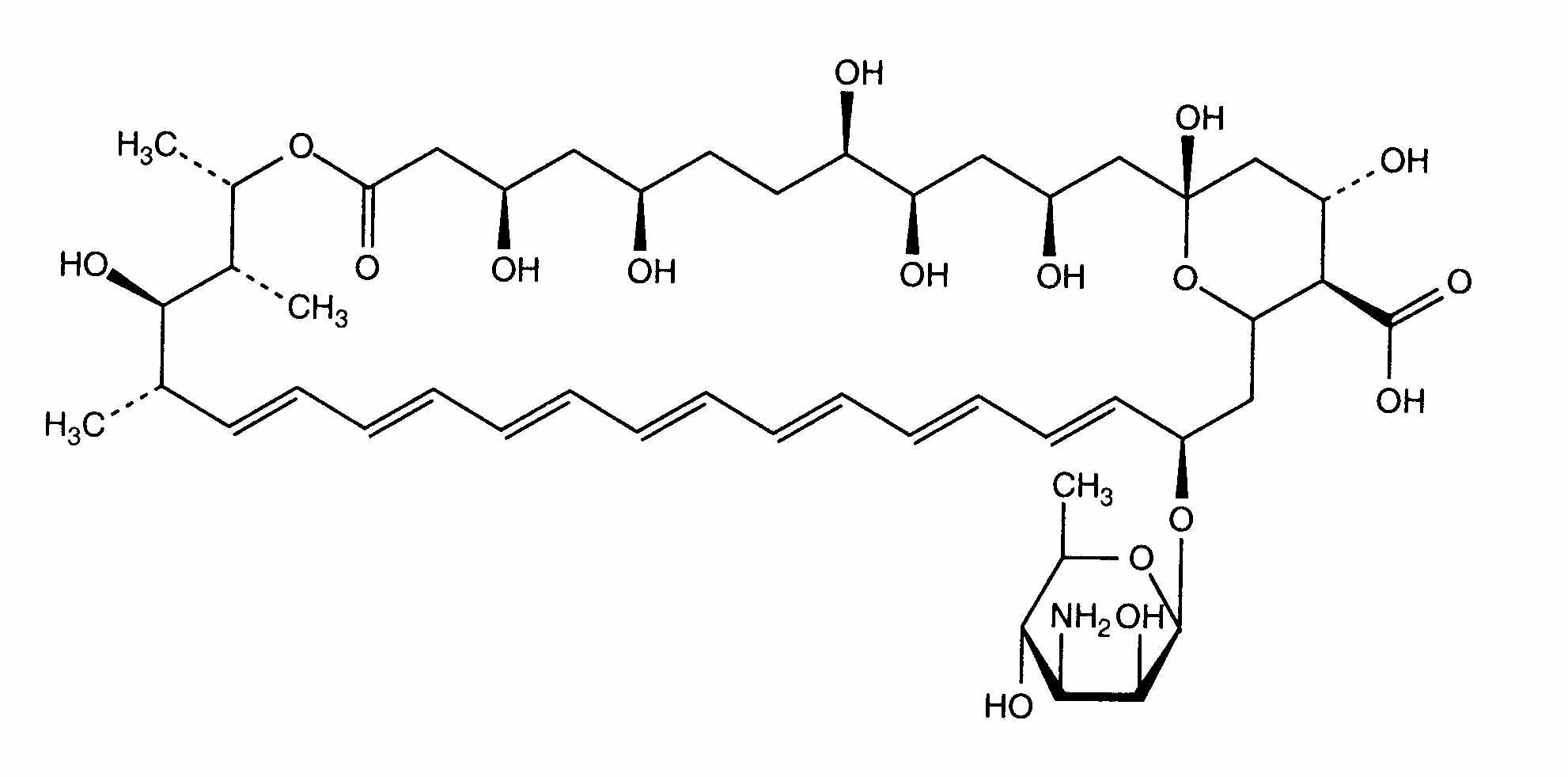
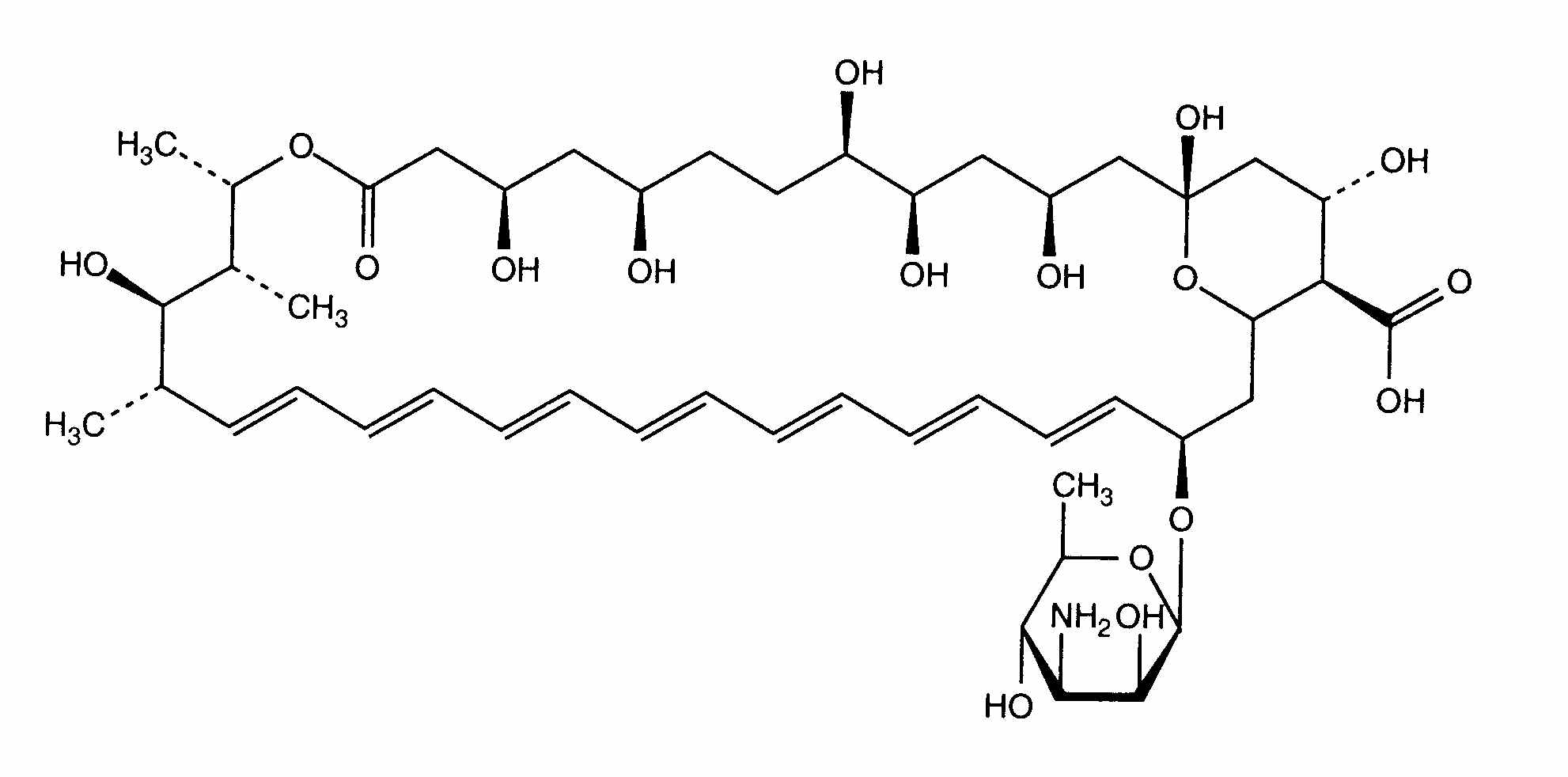
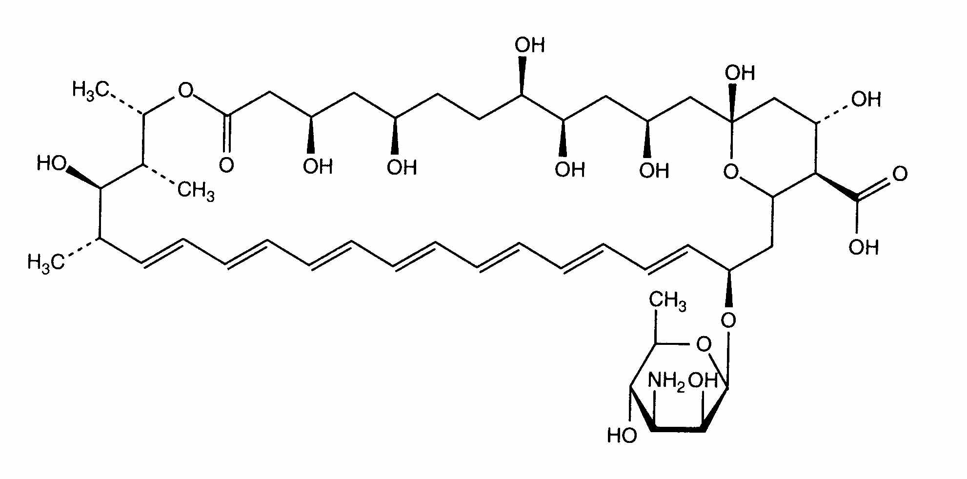
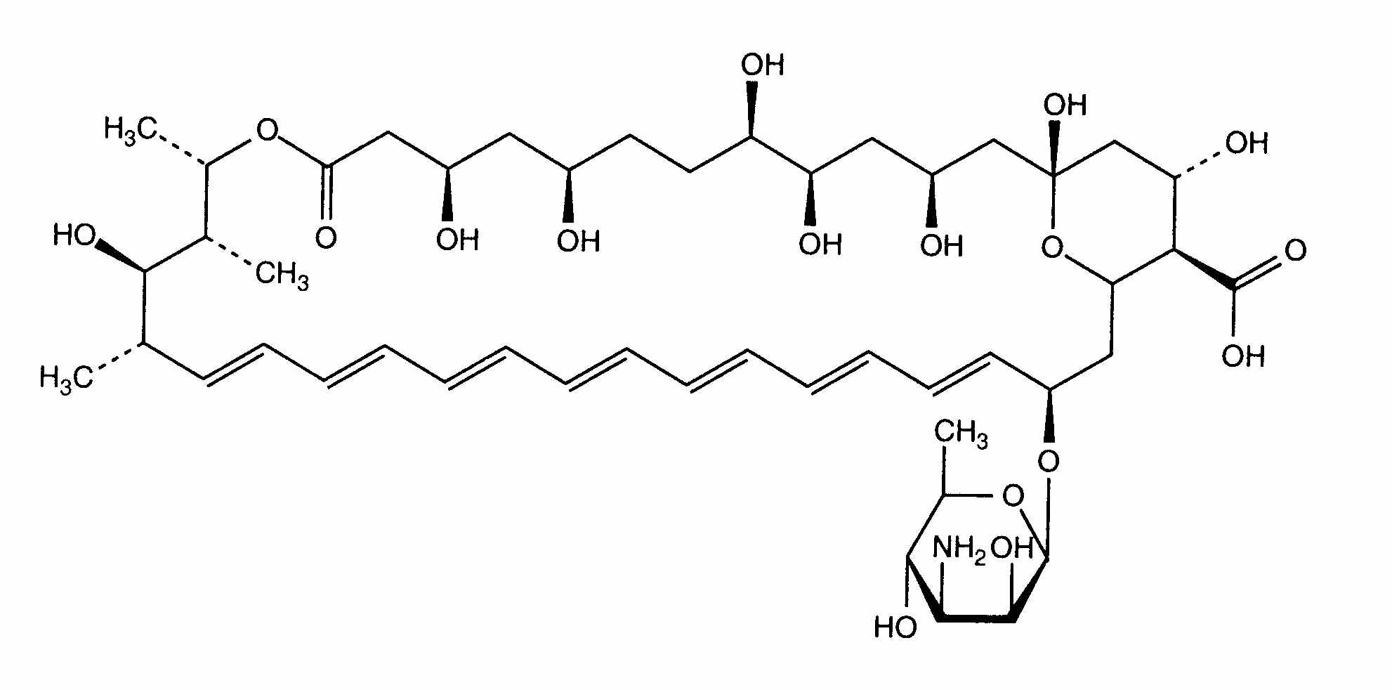
   Chemische Struktur  

Lösung zum Einnehmen
Stabilität von pharmazeutischen Präparaten   Lösung zum Einnehmen   Stabilität von pharmazeutischen Präparaten : Amphotericin B      
Behälter Origine Hilfsstoff Temperatur Konservierung Dauer der Stabilität Literaturverzeichnis
Plastikflasche Pulver 30 g
Amphotericin B
Na2HPO4 4.77 g
NaH2PO4 2.88 g
Natriumbenzoat 300 mg
Natriummetabisulfit 450 mg
Zitronensäure 2.25 g
Carboxymethylcellulose 1% 37.5 ml
Methylparaben 300 mg
Propylparaben 60 mg
Kirschgeschmack 1.2 ml
Propylenglycol 3 ml
Zitronensäure >> pH 4.3
Gereinigtes Wasser >> 300 ml
22-25°C Ohne Licht
93 Tag
2940


  Mentions Légales