Senaste uppdateringen :
27/04/2026
Antimykotikum   Amphotericin B   
Oral lösning
Aerosol injektion Munvatten ögondroppar
Stabilitet av läkemedel Stabilitet i blandningar Faktorer som påverkar stabiliteten Kompatibilitet Hänvisningar pdf
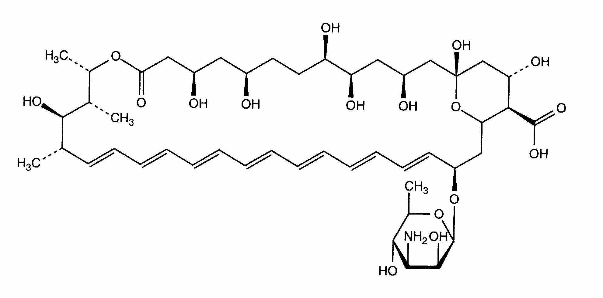
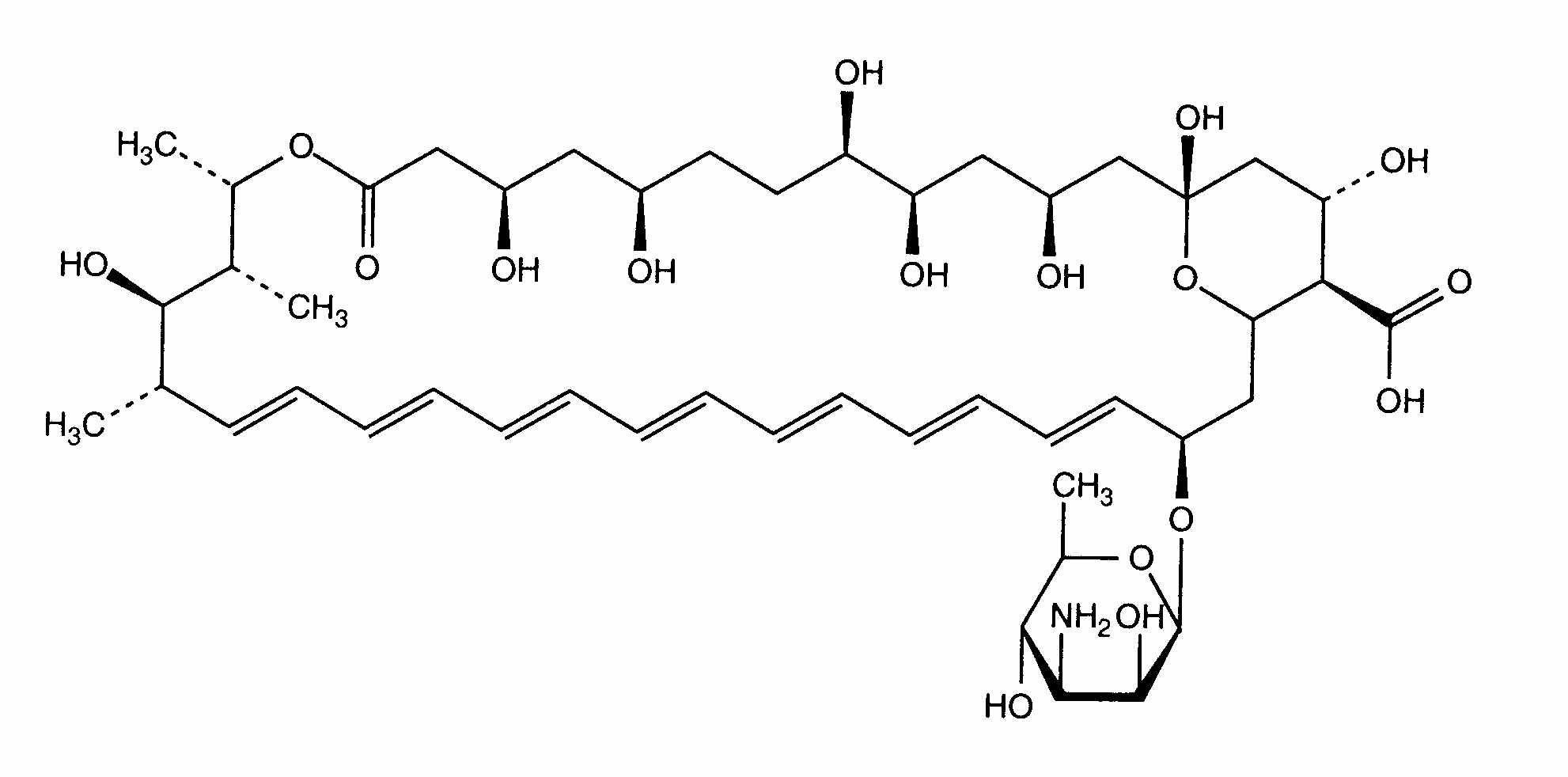
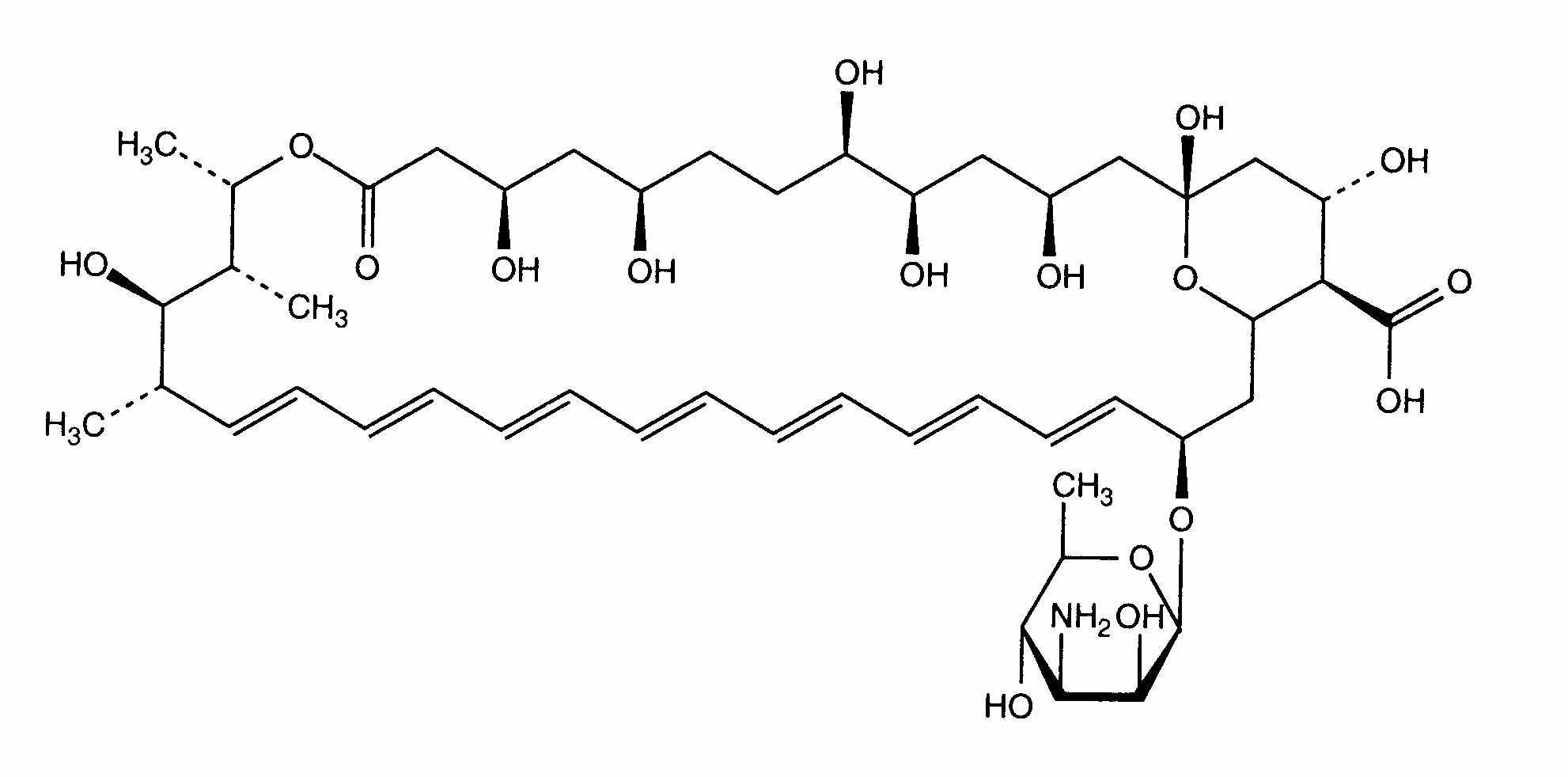
   Molekylstruktur  

Oral lösning
Stabilitet av läkemedel   Oral lösning   Stabilitet av läkemedel : Amphotericin B      
Behållare Origine Hjälpämne Temperatur Förvaring Stabilitets varaktighet Hänvisningar
Plastflaska Pulver 30 g
Amphotericin B
Na2HPO4 4.77 g
NaH2PO4 2.88 g
Natriumbensoat 300 mg
Natriummetabisulfit 450 mg
citronsyra 2.25 g
Karboximetylcellulosa 1% 37.5 ml
Metylparaben 300 mg
Propylparaben 60 mg
Körsbärssmak 1.2 ml
Propylenglykol 3 ml
citronsyra >> pH 4.3
Renat vatten >> 300 ml
22-25°C Skyddas från ljus
93 Dag
2940


  Mentions Légales