最新更新 :
27/04/2026
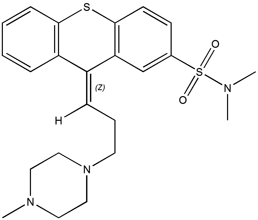
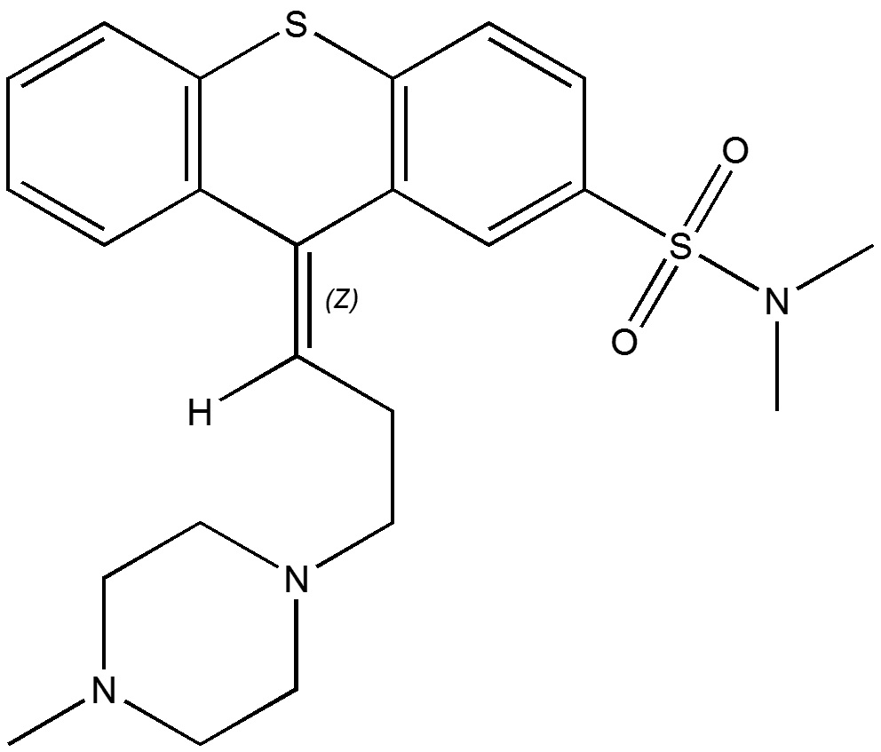
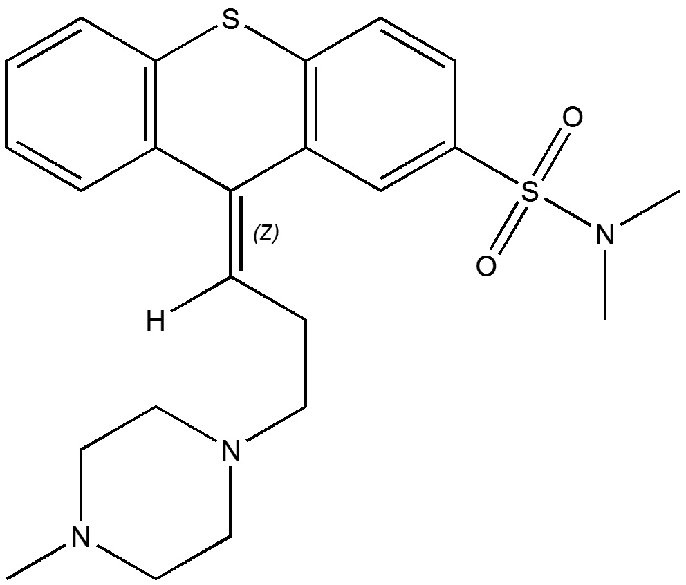
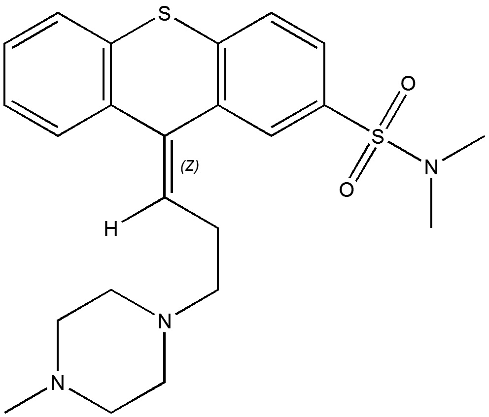
神経舒缓药   Thiothixene  
口服剂
制剂的稳定性 混合物稳定性 影响稳定性的因素 兼容性 引用文献 PDF
   化学式  

口服剂

影响稳定性的因素   口服剂   影响稳定性的因素 : Thiothixene        
无数据

  Mentions Légales