Siste oppdatering :
27/04/2026
Neuroleptika   Thiothixene  
Mikstur
Stabilitet av farmasøytiske preparater Stabilitet i blandinger Faktorer som påvirker stabiliteten Kompatibilitet Referanser pdf
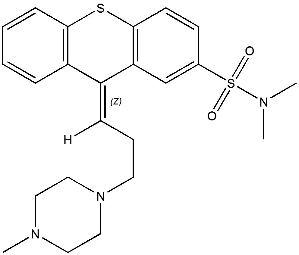
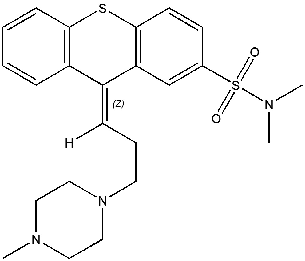
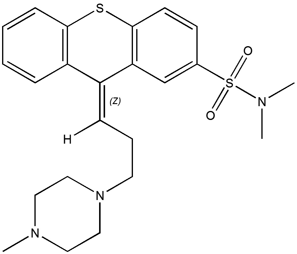
   Kjemisk struktur  

Mikstur

Faktorer som påvirker stabiliteten   Mikstur   Faktorer som påvirker stabiliteten : Thiothixene        
Ingen opplysninger

  Mentions Légales