Utolsó frissítés :
27/04/2026
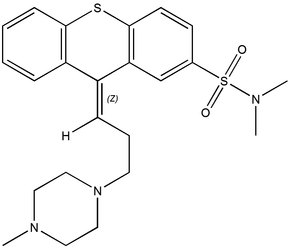
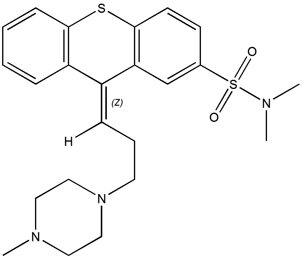
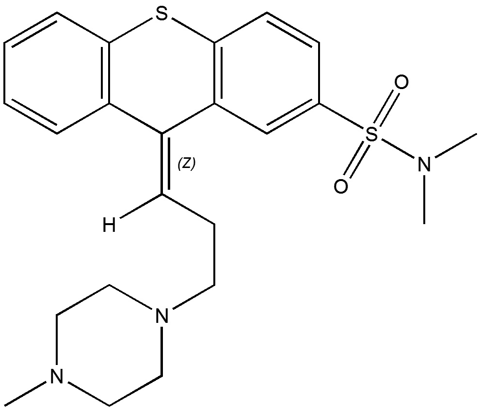
Neuroleptikum   Thiothixene  
belsőleges oldat
Stabilitása gyógyszerészeti készítmények A keverékek stabilitása Stabilitást befolyásoló tényezők Kompatibilitás Irodalom pdf
   Kémiai szerkezet   

belsőleges oldat

Stabilitást befolyásoló tényezők   belsőleges oldat   Stabilitást befolyásoló tényezők : Thiothixene        
Hiányzó adat

  Mentions Légales