Останнє оновлення :
31/03/2026
Електроліт   Calcium gluconate  
Мазі
ін'єкція
Стабільність фармацевтичних препаратів Стійкість сумішей Фактори, що впливають на стабільність Сумісність Список літератури pdf
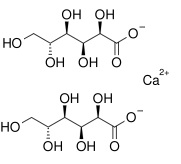
   Хімічна структура  

Мазі
Список літератури   Мазі   Список літератури : Calcium gluconate  
Тип Публікація
3017 журнал Rotheli-Simmen B, Martinelli E, Muhlebach S.
Formulation of a stable calcium gluconate gel for topical treatment of hydrofluoric acid burns.
Eur Hosp Pharm 1996 ; 2: 176-180.

  Mentions Légales