Последно актуализиране :
31/03/2026
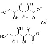
Електролитен   Calcium gluconate  
Унгвент/Унгвенти
Инжекция/Инжекционен
Стабилност на лекарствени препарати Стабилност на смеси Фактори, повлияващи стабилността Съвместимост Библиография Pdf
   Химична структура  

Унгвент/Унгвенти
Библиография   Унгвент/Унгвенти   Библиография : Calcium gluconate  
Вид Публикация
3017 Списание Rotheli-Simmen B, Martinelli E, Muhlebach S.
Formulation of a stable calcium gluconate gel for topical treatment of hydrofluoric acid burns.
Eur Hosp Pharm 1996 ; 2: 176-180.

  Mentions Légales