Zadnji put ažurirano :
31/03/2026
Infostab
Liste
Liste sazetaka
Potražite kompatibilnosti
Tablica kompatibilnosti Y-mjesta
Bibliografija
istraživačkih timova
valistab
Plakat
Linkovi
sponzori
Autor
Priručnik za korisnike
Bilten
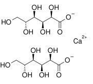
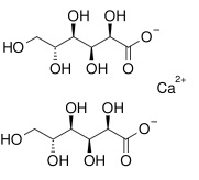
Calcium gluconate
Kemijska struktura
Bibliografija : Calcium gluconate
Vrsta
Publikacija
3017
Časopis
Rotheli-Simmen B, Martinelli E, Muhlebach S.
Formulation of a stable calcium gluconate gel for topical treatment of hydrofluoric acid burns.
Eur Hosp Pharm 1996 ; 2: 176-180.
Mentions Légales