Última actualización :
31/03/2026
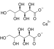
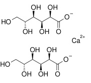
electrólito   Calcium gluconate  
Preparaciones tópicas
Inyectables
La estabilidad de las preparaciones farmacéuticas Estabilidad en mezcla Factores que influyen sobre la estabilidad Compatibilidades Bibliografía pdf
   Estructura química  

Preparaciones tópicas
Bibliografía   Preparaciones tópicas   Bibliografía : Calcium gluconate  
Tipo Publicación
3017 periódico Rotheli-Simmen B, Martinelli E, Muhlebach S.
Formulation of a stable calcium gluconate gel for topical treatment of hydrofluoric acid burns.
Eur Hosp Pharm 1996 ; 2: 176-180.

  Mentions Légales