最新更新 :
31/03/2026
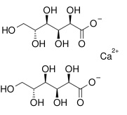
电解液   Calcium gluconate  
药膏
注射液
制剂的稳定性 混合物稳定性 影响稳定性的因素 兼容性 引用文献 PDF
   化学式  

药膏
引用文献   药膏   引用文献 : Calcium gluconate  
种类 出版物
3017 文献 Rotheli-Simmen B, Martinelli E, Muhlebach S.
Formulation of a stable calcium gluconate gel for topical treatment of hydrofluoric acid burns.
Eur Hosp Pharm 1996 ; 2: 176-180.

  Mentions Légales