Posledná aktualizácia :
27/01/2026
Protinádorová liečba   Etoposide  
Perorálny roztok
Injekcia
Stabilita farmaceutických prípravkov Stabilita v zmesiach Faktory ovplyvňujúce stabilitu Kompatibility Odkazy na literatúru PDF
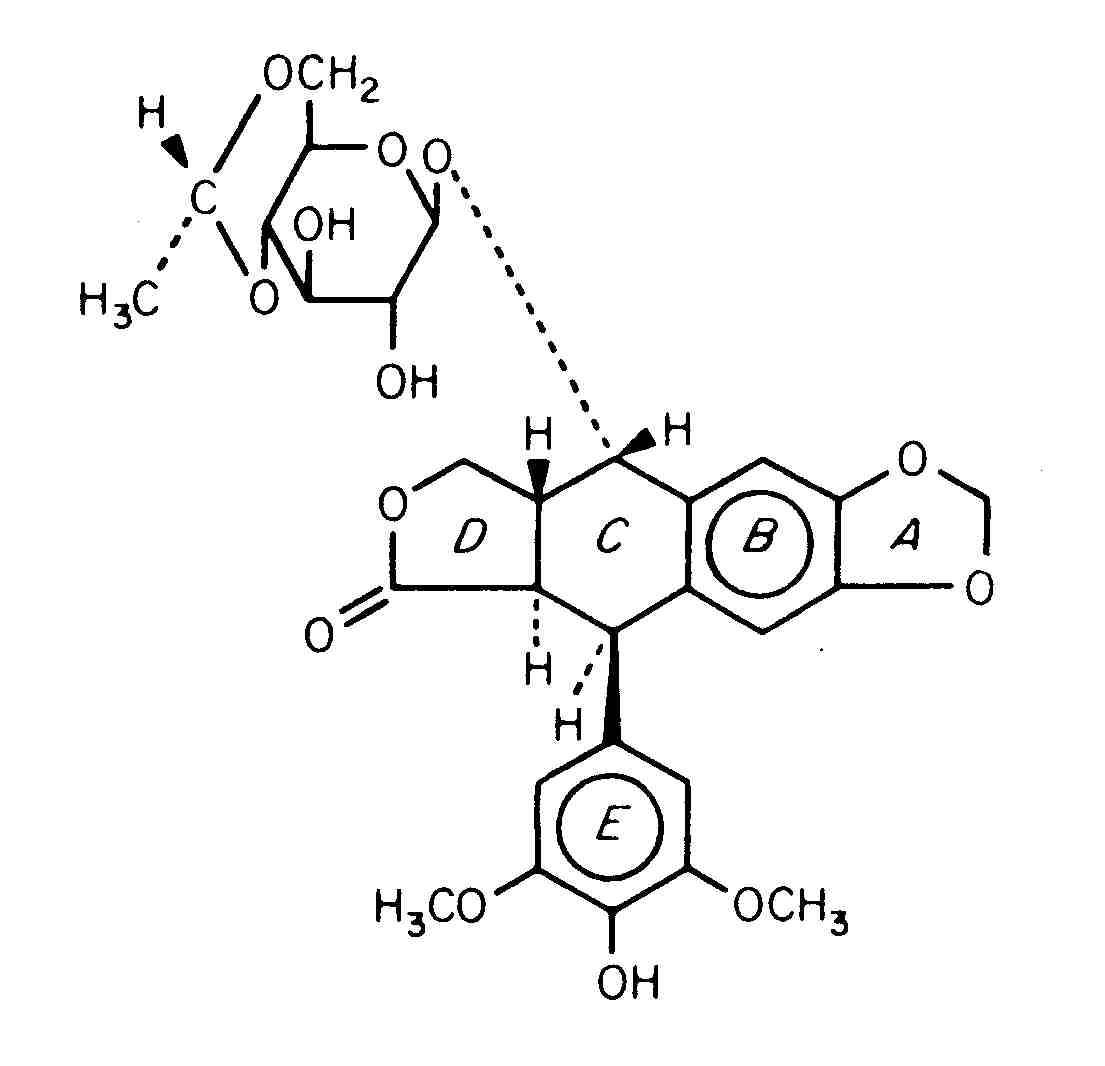
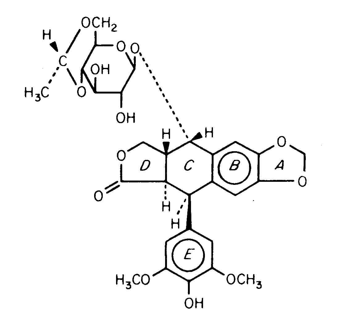
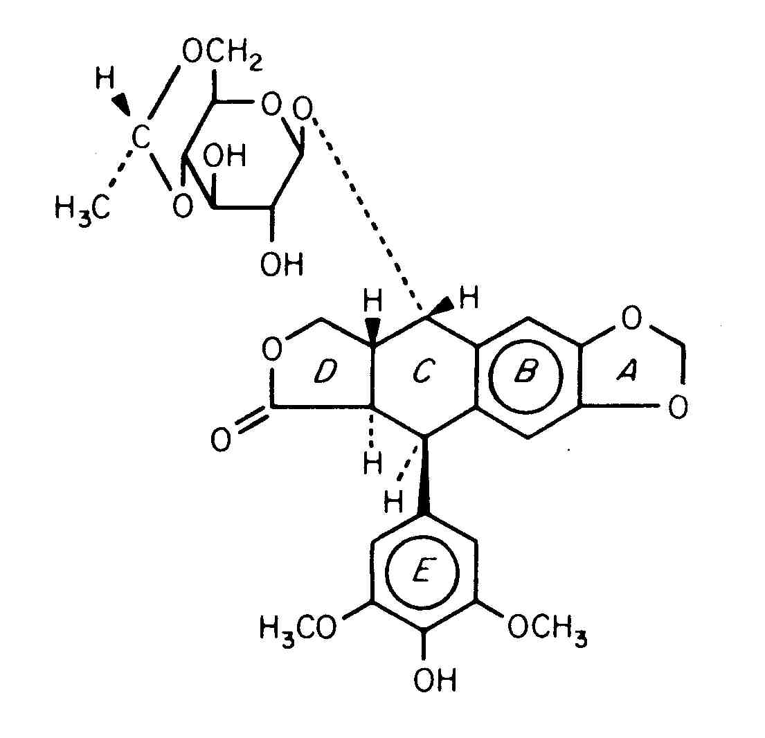
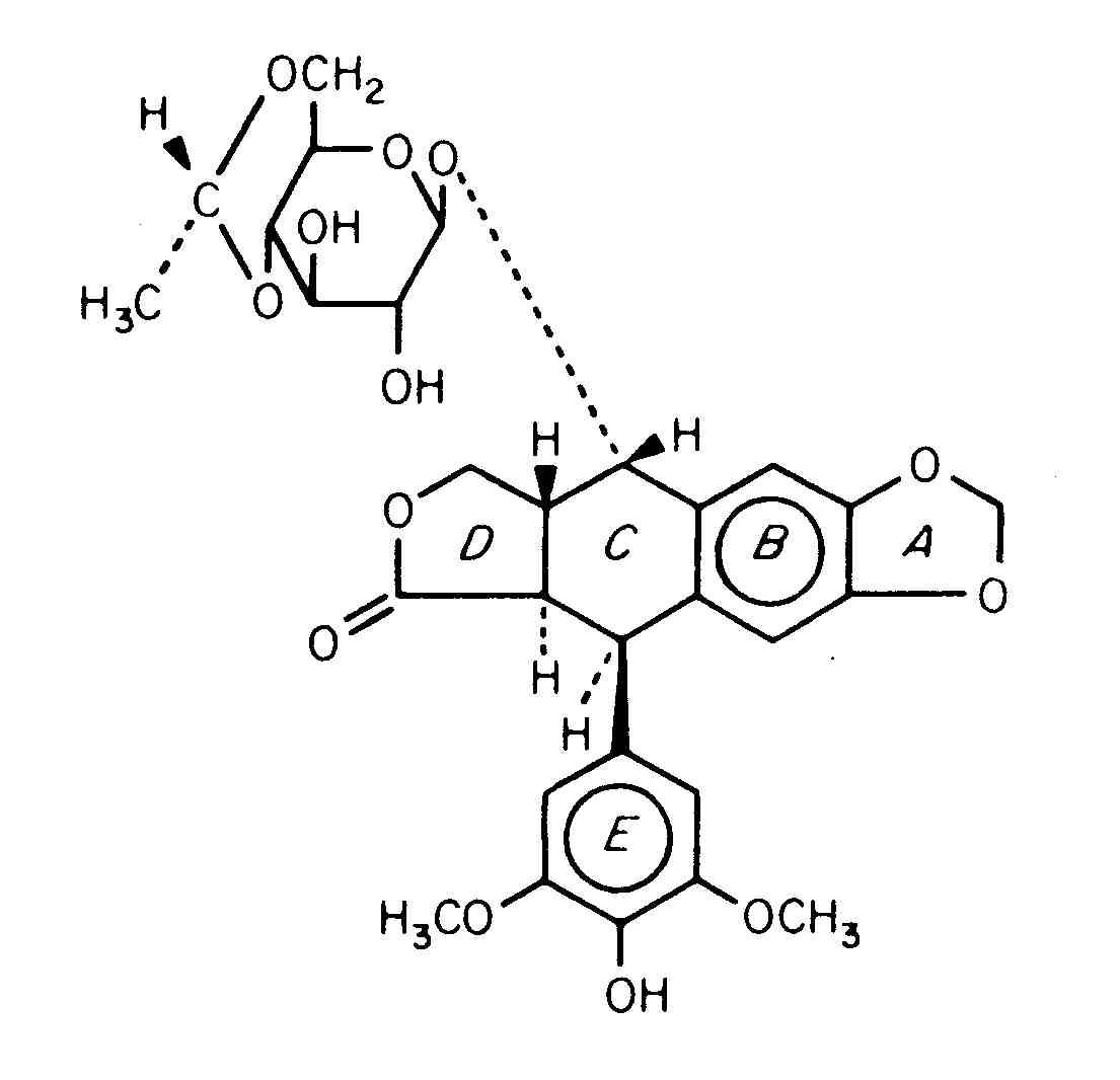
   Chemický vzorec  

Perorálny roztok
Kompatibility   Perorálny roztok   Kompatibility : Etoposide              
žiadne údaje

  Mentions Légales