viimane versioon :
27/01/2026
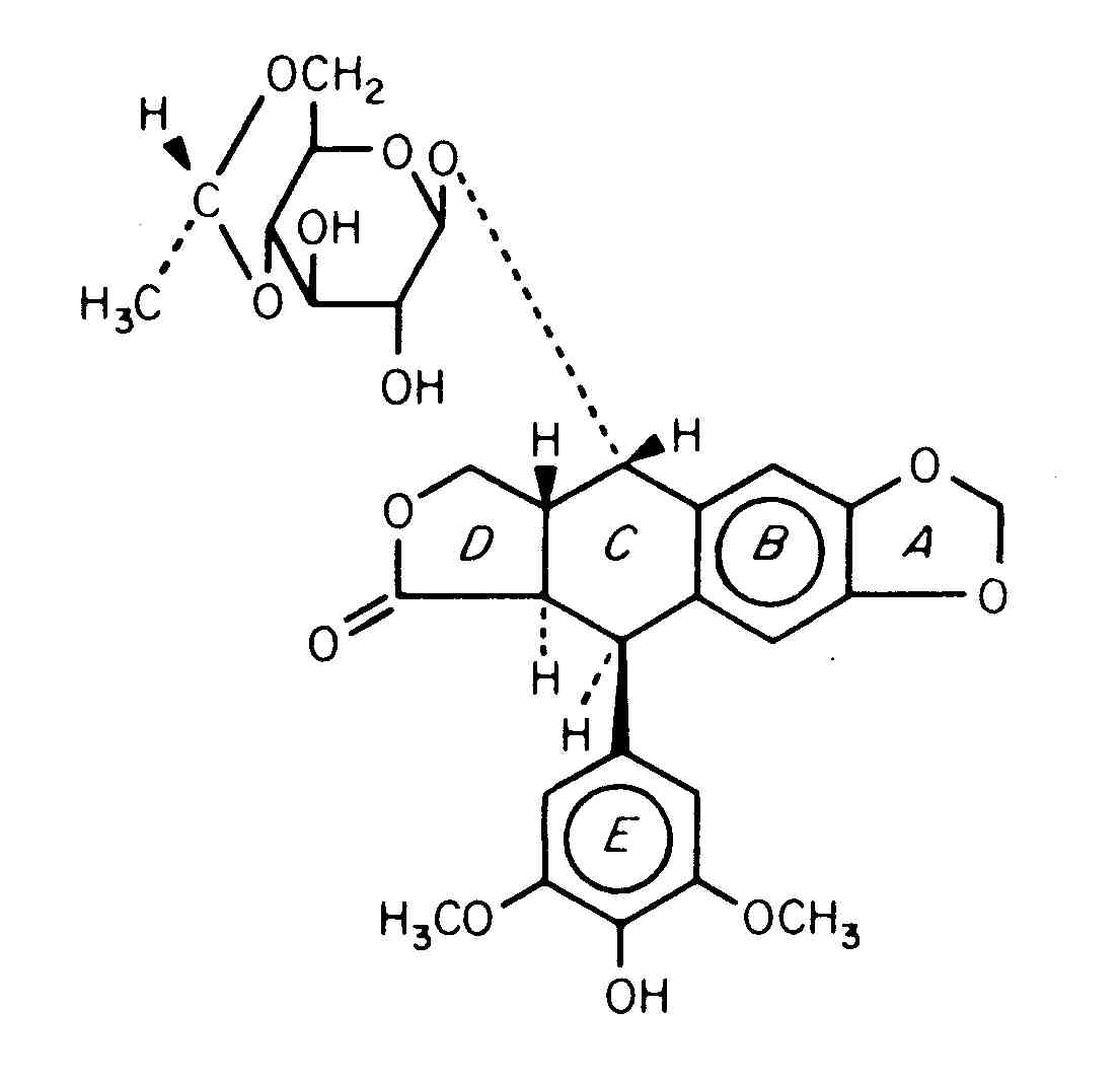
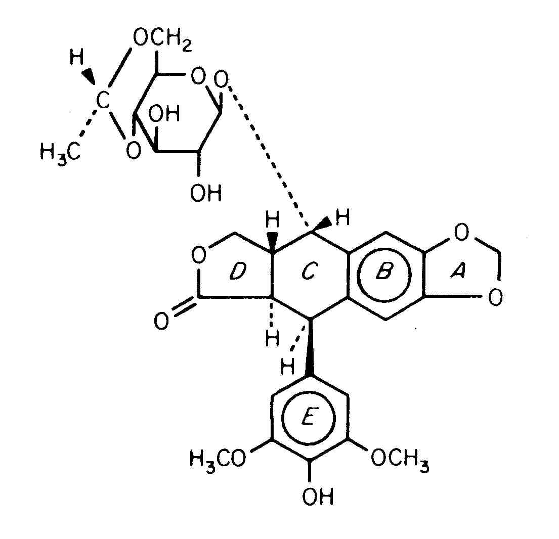
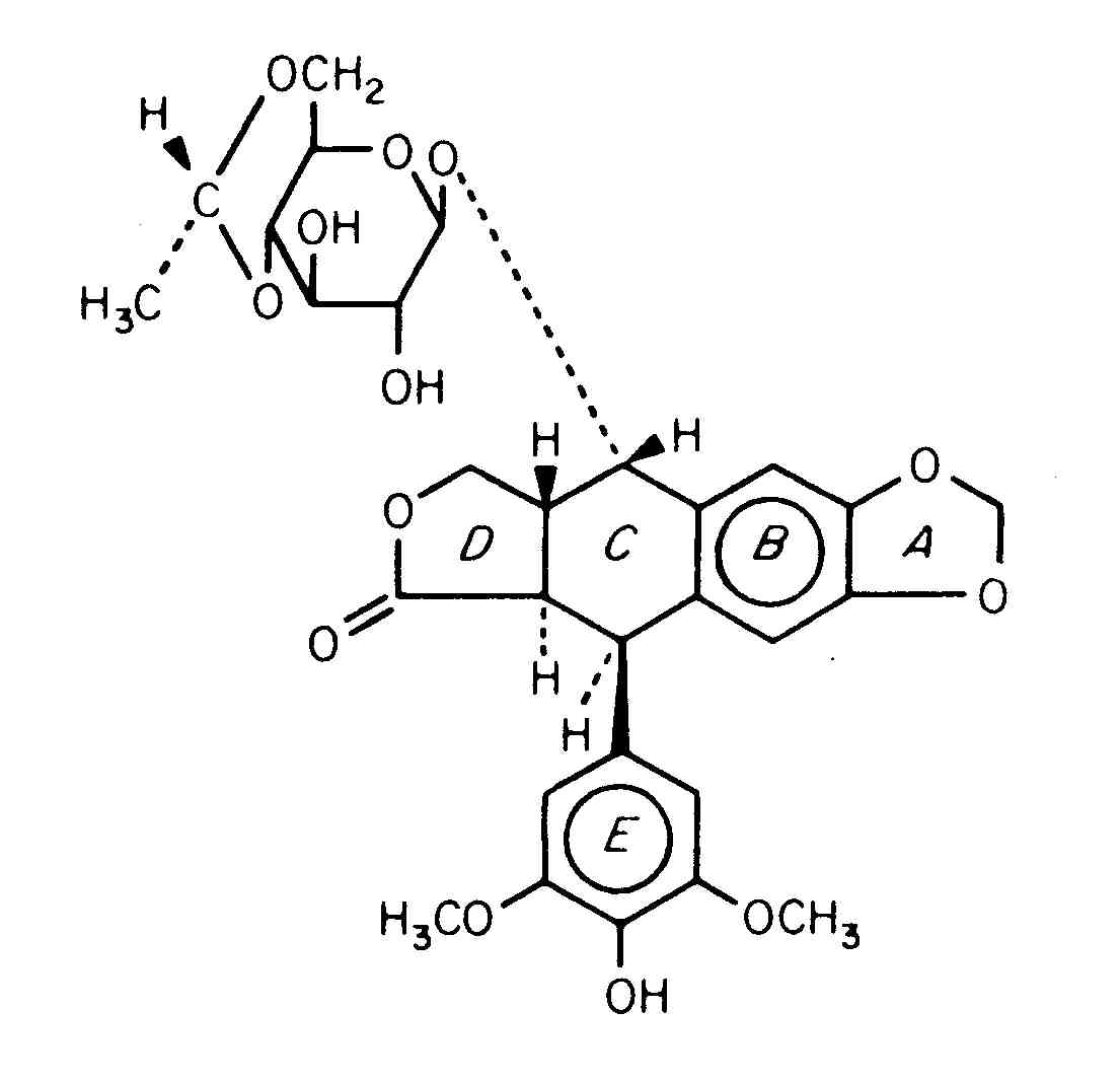
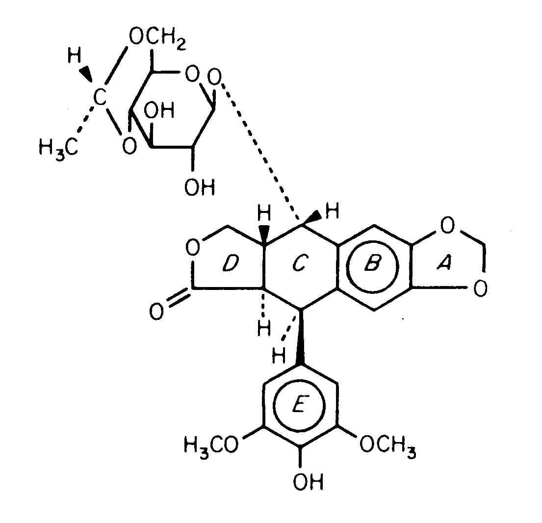
vähiravimite   Etoposide  
suukaudne lahus
Süsteravim
Stabiilsust ravimpreparaadid Stabiilsust mõjutavad tegurid stabiilsust mõjutavad faktorid Sobimatus Viited pdf
   keemiline struktuur  

suukaudne lahus
Sobimatus   suukaudne lahus   Sobimatus : Etoposide              
andmed puuduvad

  Mentions Légales