Ultimo aggiornamento :
27/01/2026
farmaco contro il cancro   Etoposide  
Soluzione orale
Iniezione
Stabilità dei preparati farmaceutici Stabilità in miscela Fattori che influenzano la stabilità Compatibilità Bibliografia pdf
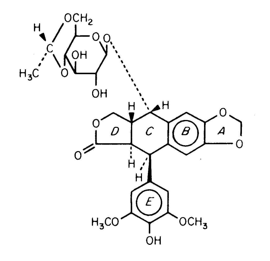
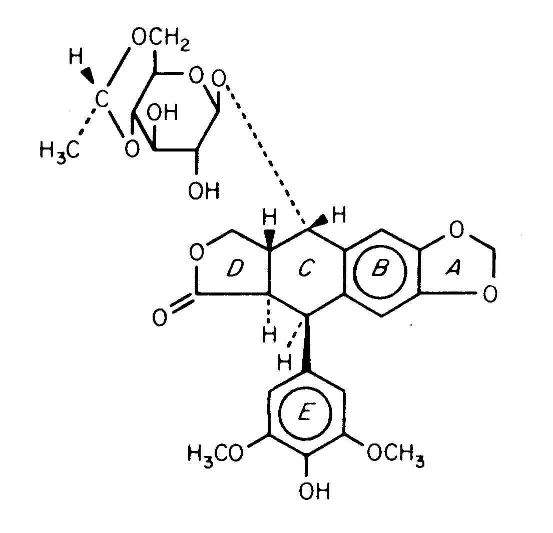
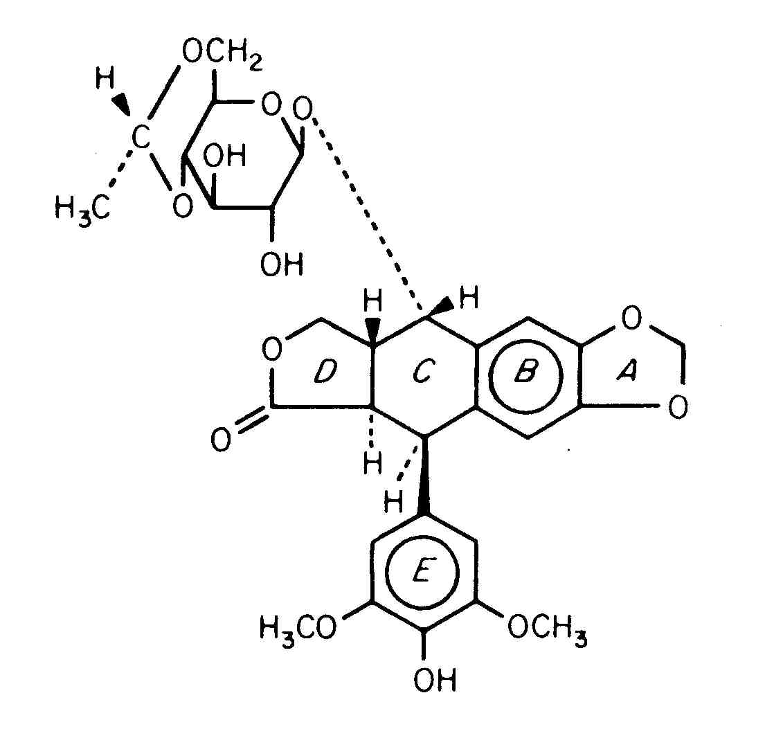
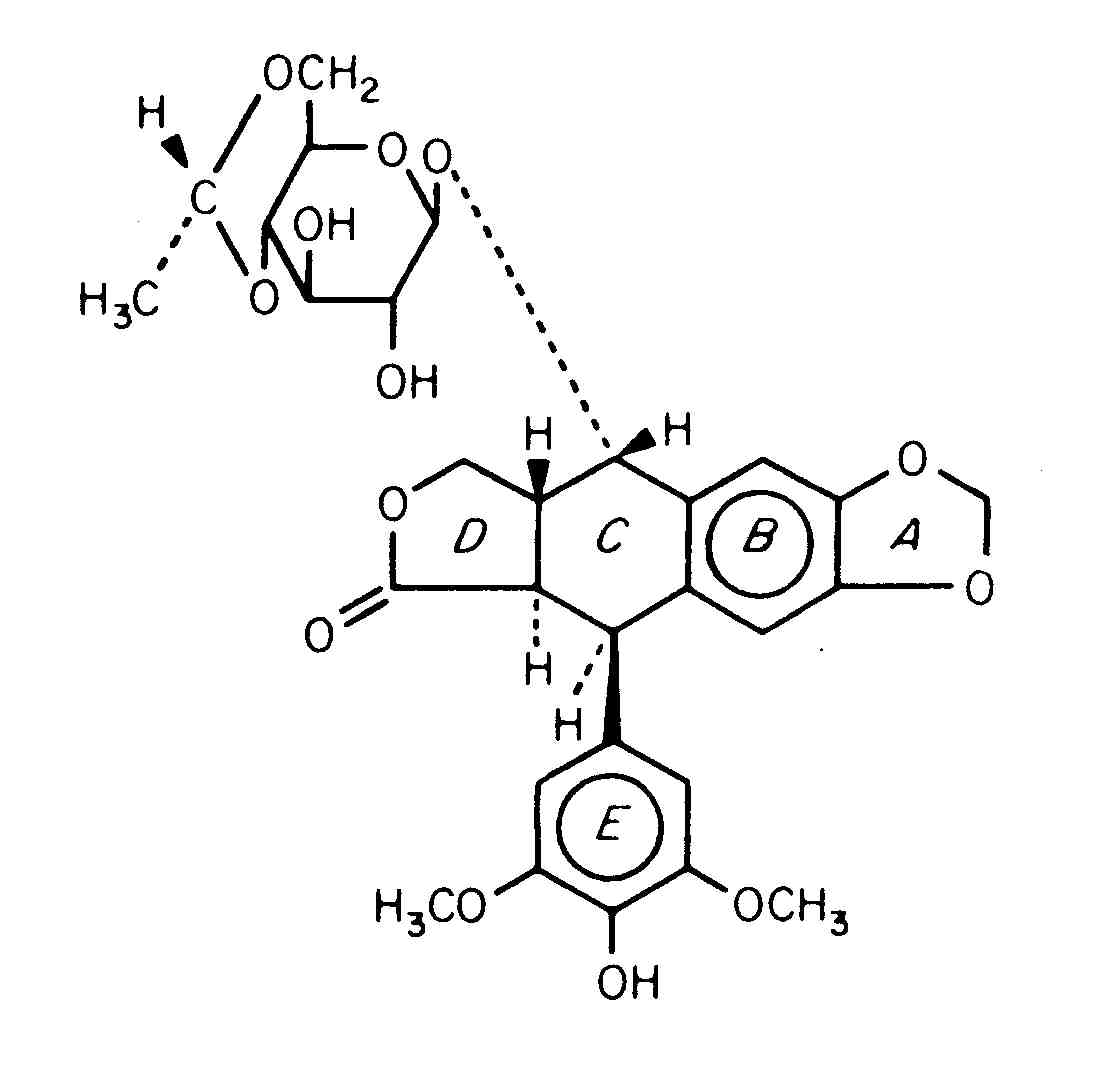
   Struttura chimica  

Soluzione orale
Compatibilità   Soluzione orale   Compatibilità : Etoposide              
Assenza di dati

  Mentions Légales