Last update :
27/01/2026
Anticancer drug   Etoposide  
Oral solution
injection
Stability of pharmaceutical preparations Stability of mixtures Factors which affect stability Compatibility References pdf
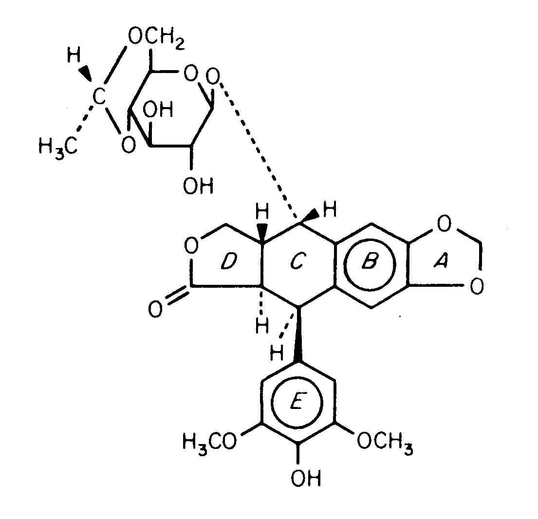
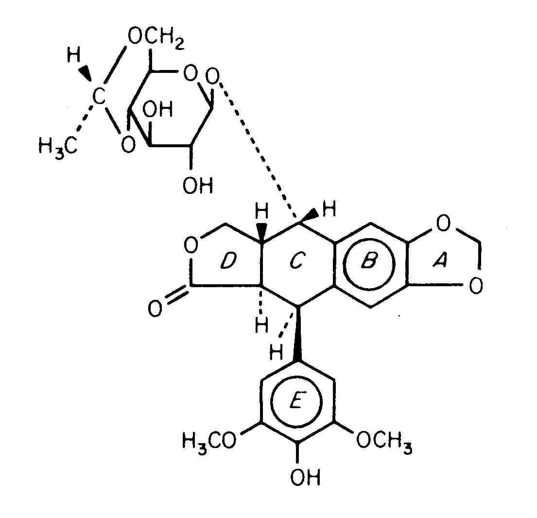
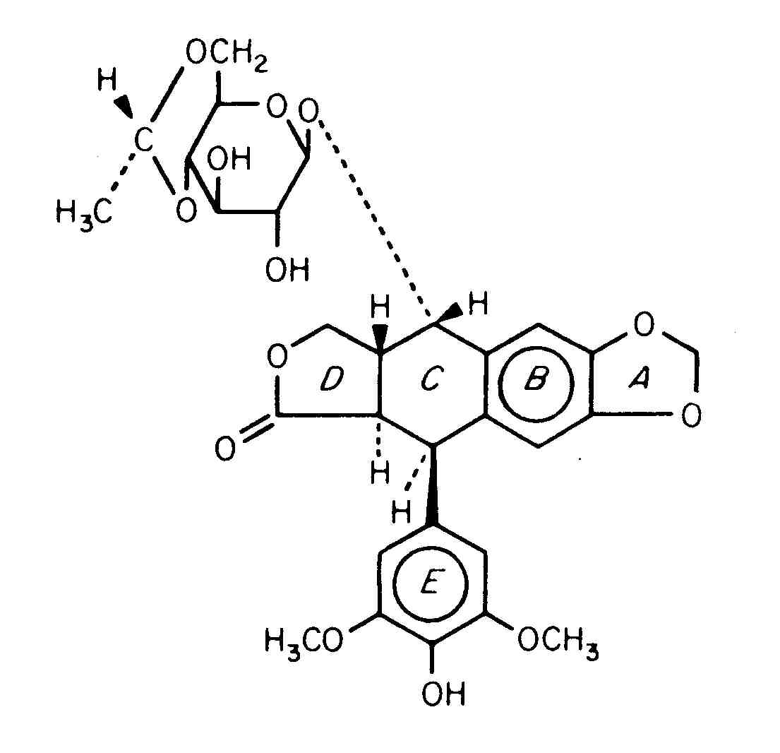
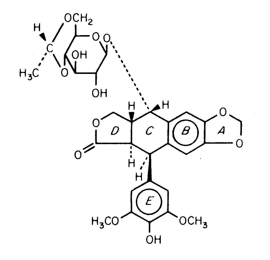
   Chemical structure  

Oral solution
Compatibility   Oral solution   Compatibility : Etoposide              
No data

  Mentions Légales