Poslední aktualizace :
27/01/2026
vėžio narkotikų   Etoposide  
Geriamas tirpalas
Įpurškimas
Stabilumas farmacinių preparatų Mišinių stabilumas Stabilumą lemiantys veiksniai Suderinamumas Bibliografija pdf
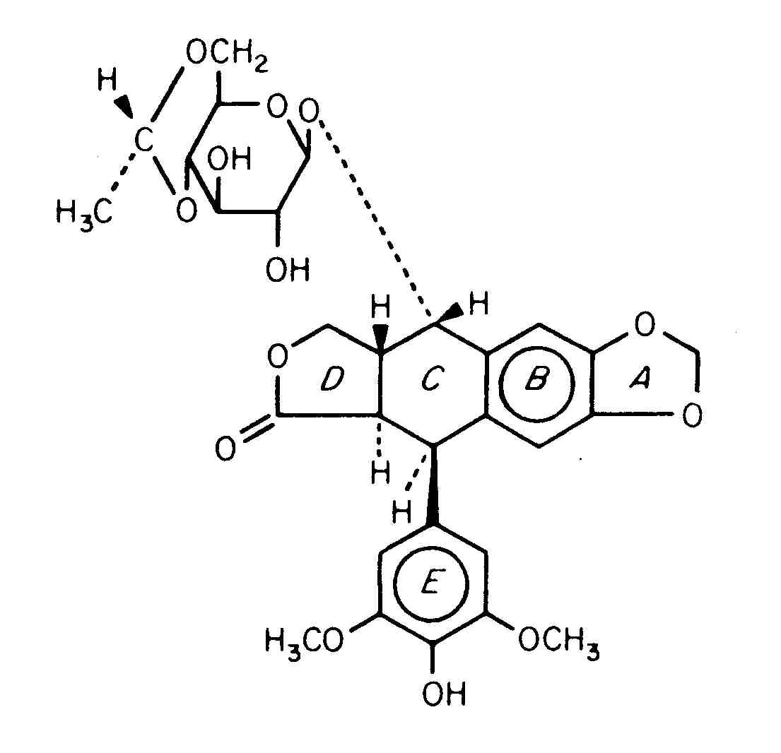
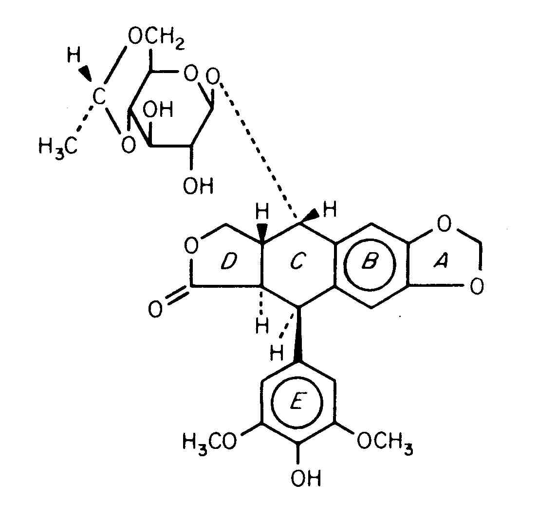
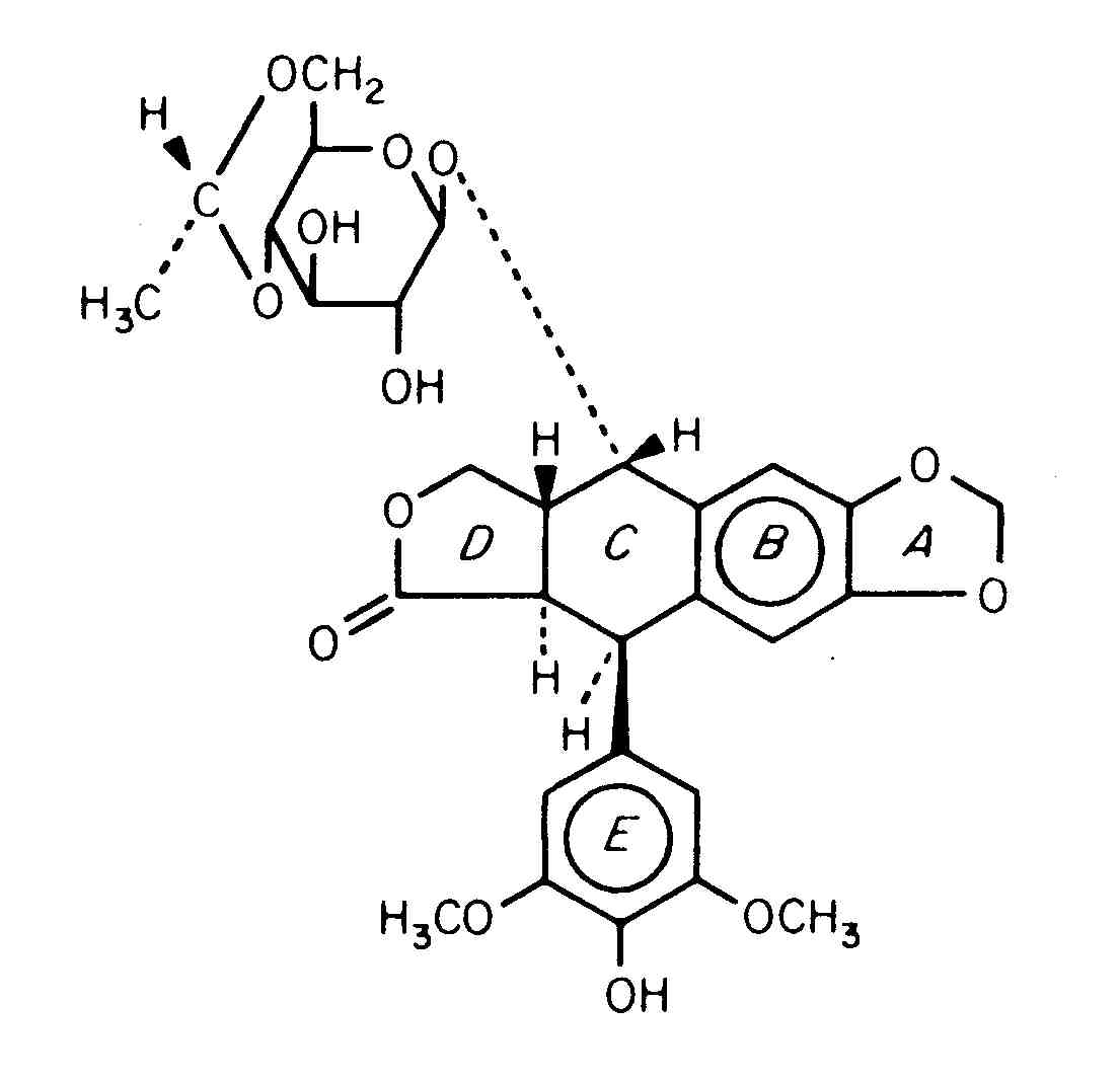
   Cheminė sandara  

Geriamas tirpalas
Suderinamumas   Geriamas tirpalas   Suderinamumas : Etoposide              
Nėra duomenų

  Mentions Légales