Ostatnia aktualizacja :
27/01/2026
Lek cytostatyk   Etoposide  
Roztwór doustny
Injekcje
Stabilność preparatów farmaceutycznych Trwałość w mieszaninie Czynnik wpływający na trwałość Zgodność Bibliografia pdf
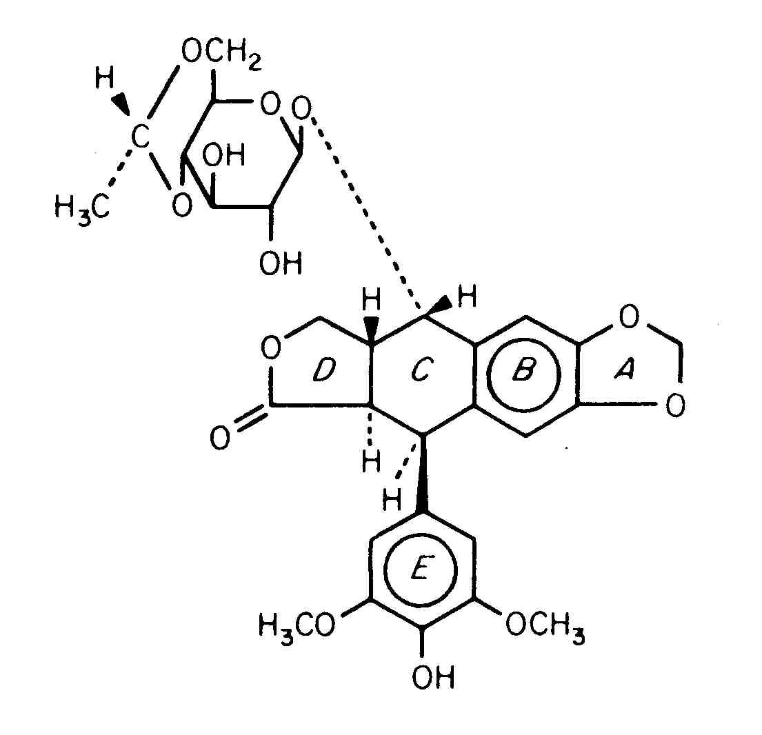
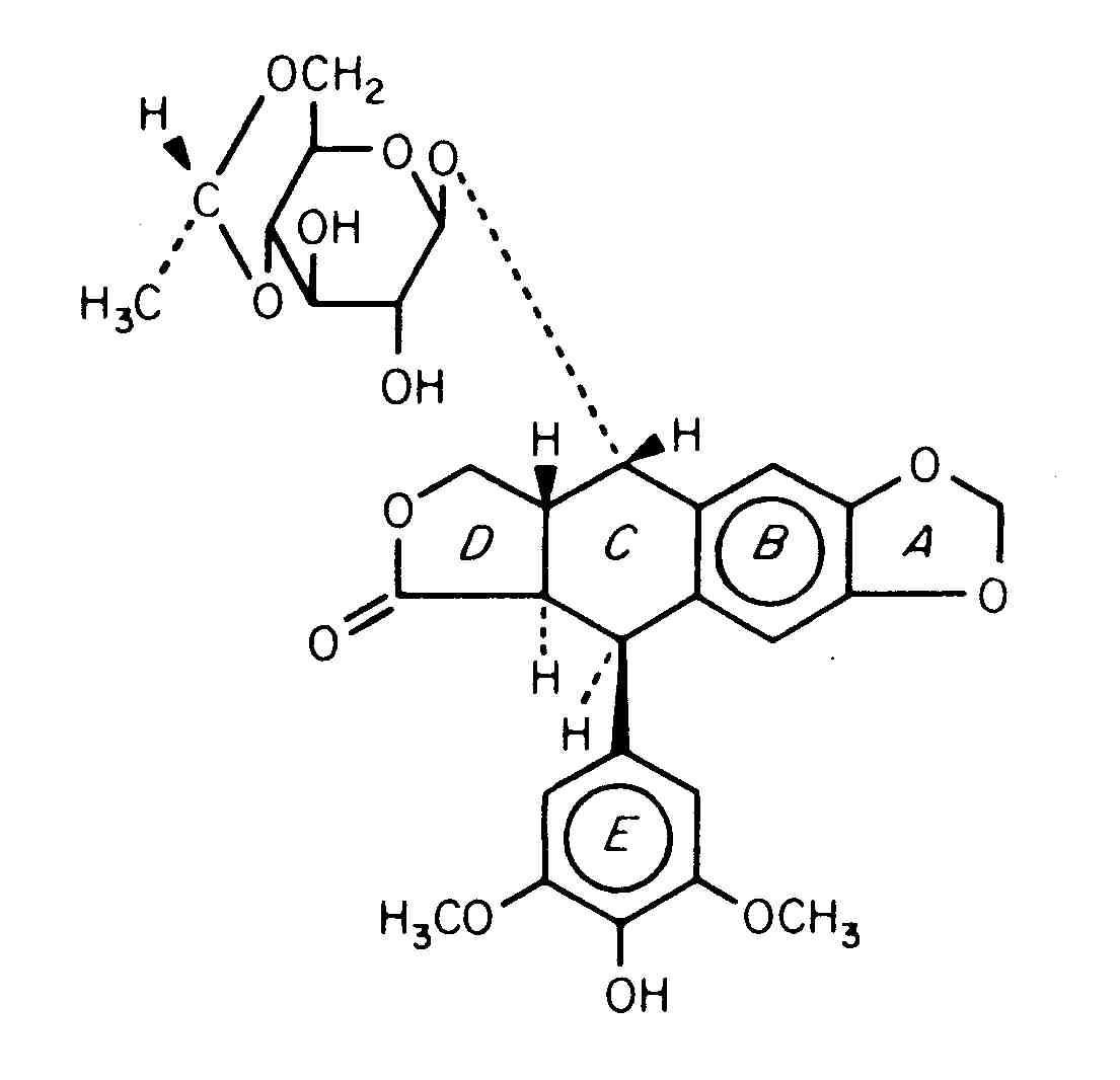
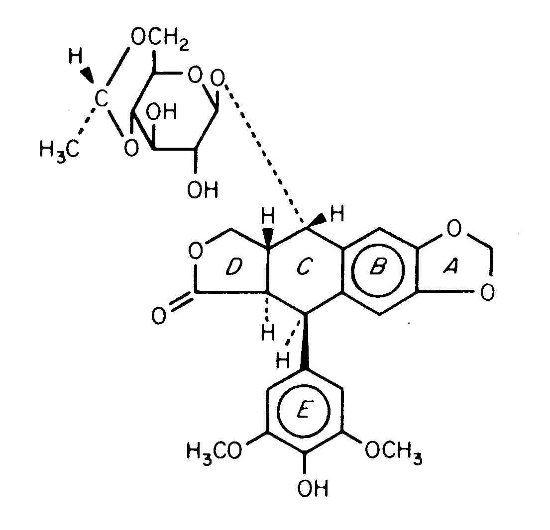
   Struktura chemiczna  

Roztwór doustny
Zgodność   Roztwór doustny   Zgodność : Etoposide              
Brak danych

  Mentions Légales