Senaste uppdateringen :
27/01/2026
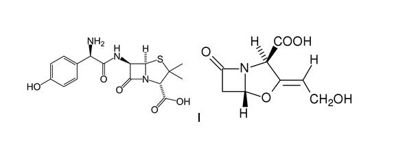
Antibiotikum   Amoxicillin sodium / clavulanic acid  
Oral lösning
injektion
Stabilitet av läkemedel Stabilitet i blandningar Faktorer som påverkar stabiliteten Kompatibilitet Hänvisningar pdf
   Molekylstruktur  

Oral lösning
Stabilitet av läkemedel   Oral lösning   Stabilitet av läkemedel : Amoxicillin sodium / clavulanic acid     
Behållare Origine Hjälpämne Temperatur Förvaring Stabilitets varaktighet Hänvisningar
Plastflaska Pulver 125/31,25 mg
Augmentin®
Renat vatten 134 mL
25°C Ej angiven
7 Dag
2508

Plastflaska Pulver 250/62,5 mg
Augmentin®
Renat vatten 130 mL
25°C Ej angiven
7 Dag
2508

Plastflaska Pulver 125/31,25 mg
Augmentin®
Renat vatten 134 mL
5°C Ej angiven
10 Dag
2508

Plastflaska Pulver 250/62,5 mg
Augmentin®
Renat vatten 130 mL
5°C Ej angiven
10 Dag
2508

Ej angiven Pulver 5 g/1.25 g
Augmentin®
Destillerat vatten >> 100 ml
8°C Ej angiven
7 Dag
2951


  Mentions Légales