Siste oppdatering :
05/12/2025
Antibiotika   Amoxicillin sodium / clavulanic acid  
Mikstur
Injeksjon
Stabilitet av farmasøytiske preparater Stabilitet i blandinger Faktorer som påvirker stabiliteten Kompatibilitet Referanser pdf
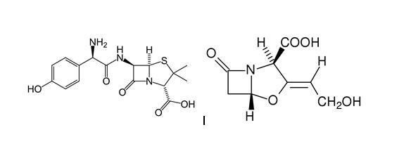
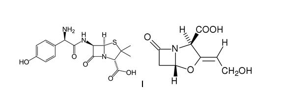
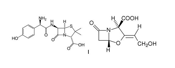
   Kjemisk struktur  

Mikstur
Stabilitet av farmasøytiske preparater   Mikstur   Stabilitet av farmasøytiske preparater : Amoxicillin sodium / clavulanic acid     
Beholder Origine Hjelpestoff Temperatur Oppbevaring Varighet av stabilitet Referanser
Plastflaske Pulver 125/31,25 mg
Augmentin®
Renset vann 134 mL
25°C Ikke angitt
7 Dag
2508

Plastflaske Pulver 250/62,5 mg
Augmentin®
Renset vann 130 mL
25°C Ikke angitt
7 Dag
2508

Plastflaske Pulver 125/31,25 mg
Augmentin®
Renset vann 134 mL
5°C Ikke angitt
10 Dag
2508

Plastflaske Pulver 250/62,5 mg
Augmentin®
Renset vann 130 mL
5°C Ikke angitt
10 Dag
2508

Ikke angitt Pulver 5 g/1.25 g
Augmentin®
Destillert vann >> 100 ml
8°C Ikke angitt
7 Dag
2951


  Mentions Légales