Last update :
18/03/2026
Antibiotic   Amoxicillin sodium / clavulanic acid  
Oral solution
injection
Stability of pharmaceutical preparations Stability of mixtures Factors which affect stability Compatibility References pdf
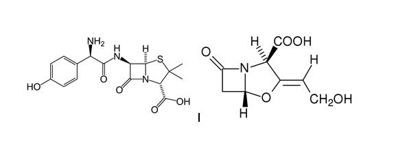
   Chemical structure  

Oral solution
Stability of pharmaceutical preparations   Oral solution   Stability of pharmaceutical preparations : Amoxicillin sodium / clavulanic acid     
Container Origine excipient Temperature Storage Duration of stability References
plastic bottle powder 125/31,25 mg
Augmentin®
Purified water 134 mL
25°C Not specified
7 Day
2508

plastic bottle powder 250/62,5 mg
Augmentin®
Purified water 130 mL
25°C Not specified
7 Day
2508

plastic bottle powder 125/31,25 mg
Augmentin®
Purified water 134 mL
5°C Not specified
10 Day
2508

plastic bottle powder 250/62,5 mg
Augmentin®
Purified water 130 mL
5°C Not specified
10 Day
2508

Not specified powder 5 g/1.25 g
Augmentin®
Distilled water >> 100 ml
8°C Not specified
7 Day
2951


  Mentions Légales