Pēdējā atjaunošana :
27/01/2026
Antibiotika   Amoxicillin sodium / clavulanic acid  
Orāls šķīdums
Injekcija
Stabilitāte farmaceitisko preparātu Maisījuma stabilitāte Stabilitāti ietekmējoši faktori Saderība Literatūras saraksts pdf
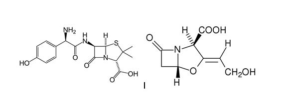
   Ķīmiskā uzbūve   

Orāls šķīdums
Stabilitāte farmaceitisko preparātu   Orāls šķīdums   Stabilitāte farmaceitisko preparātu : Amoxicillin sodium / clavulanic acid     
Iepakojums Origine Palīgviela Temperatūra Glabāšana Stabilitātes ilgums Literatūras saraksts
Plastmasas pudele Pūderis 125/31,25 mg
Augmentin®
Attīrīts ūdens 134 mL
25°C Nav specifisks
7 Diena
2508

Plastmasas pudele Pūderis 250/62,5 mg
Augmentin®
Attīrīts ūdens 130 mL
25°C Nav specifisks
7 Diena
2508

Plastmasas pudele Pūderis 125/31,25 mg
Augmentin®
Attīrīts ūdens 134 mL
5°C Nav specifisks
10 Diena
2508

Plastmasas pudele Pūderis 250/62,5 mg
Augmentin®
Attīrīts ūdens 130 mL
5°C Nav specifisks
10 Diena
2508

Nespecifisks Pūderis 5 g/1.25 g
Augmentin®
Destilēts ūdens >> 100 ml
8°C Nav specifisks
7 Diena
2951


  Mentions Légales